Официальное опубликование правовых актов
ОФИЦИАЛЬНОЕ ОПУБЛИКОВАНИЕ
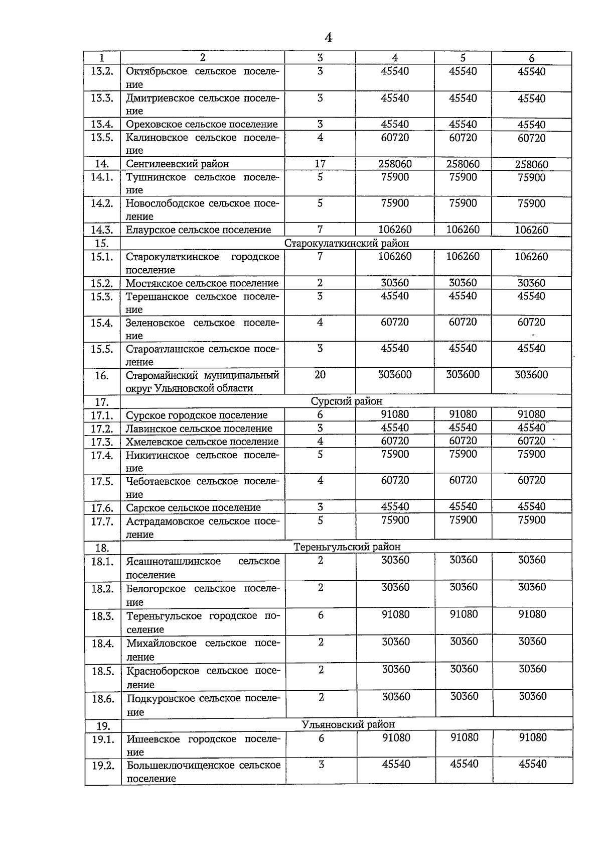
Постановление Правительства Ульяновской области от 26.01.2026 № 24-П
"Об утверждении распределения иных межбюджетных трансфертов из областного бюджета Ульяновской области, предоставляемых в 2026 году и плановом периоде 2027 и 2028 годов бюджетам поселений и городских (муниципальных) округов Ульяновской области в целях финансового обеспечения расходных обязательств, связанных с осуществлением ежемесячных денежных выплат лицам, осуществляющим полномочия сельских старост"
Номер опубликования: 7300202601270001
Дата опубликования: 27.01.2026
Страница №5 из 6:
Увеличить