Официальное опубликование правовых актов
ОФИЦИАЛЬНОЕ ОПУБЛИКОВАНИЕ
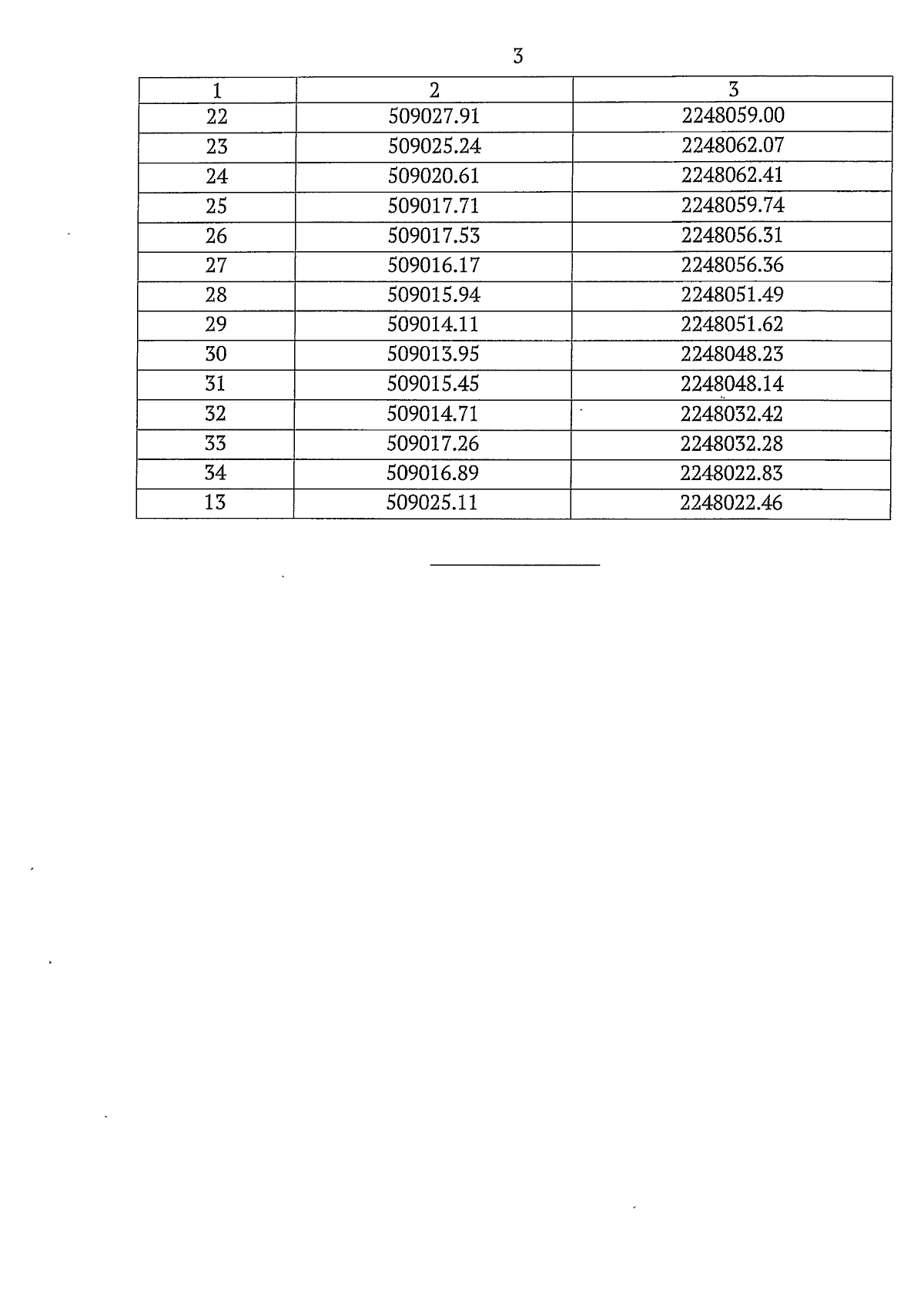
Постановление Правительства Ульяновской области от 15.10.2025 № 549-П
"Об утверждении границ зон охраны объекта культурного наследия регионального значения "Покровская церковь", расположенного по адресу: Ульяновская область, город Ульяновск, Ленинский район (с. Карлинское), ул. Ватутина, д. 29, и требований к градостроительным регламентам в границах территории данных зон"
Номер опубликования: 7300202510200001
Дата опубликования: 20.10.2025
Страница №4 из 9:
Увеличить