Официальное опубликование правовых актов
ОФИЦИАЛЬНОЕ ОПУБЛИКОВАНИЕ
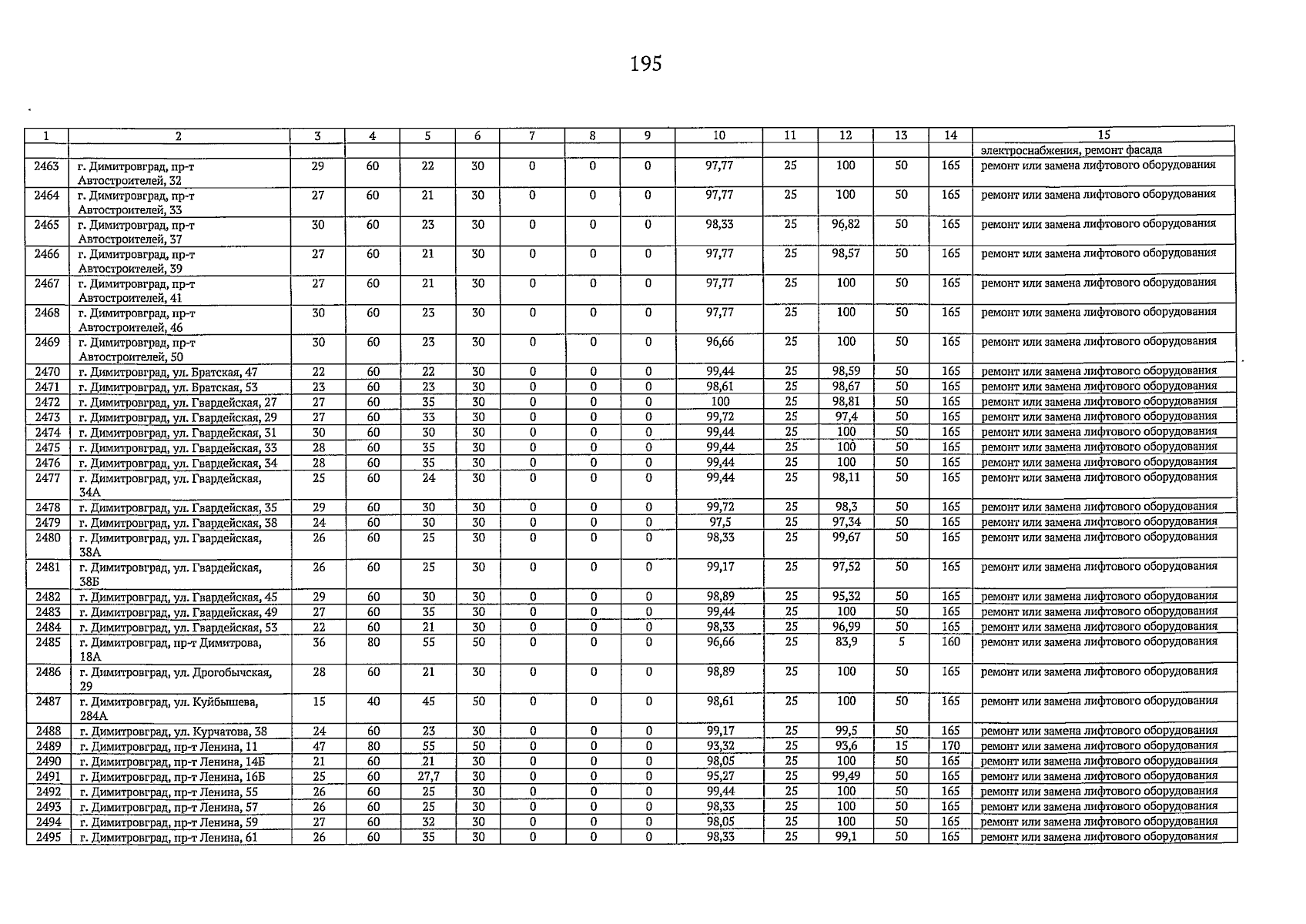
Постановление Правительства Ульяновской области от 16.09.2025 № 481-П
"О внесении изменения в региональную программу капитального ремонта общего имущества в многоквартирных домах, расположенных на территории Ульяновской области"
Номер опубликования: 7300202509220002
Дата опубликования: 22.09.2025
Страница №195 из 905:
Увеличить