Официальное опубликование правовых актов
ОФИЦИАЛЬНОЕ ОПУБЛИКОВАНИЕ
Постановление Правительства Ульяновской области от 06.06.2025 № 288-П
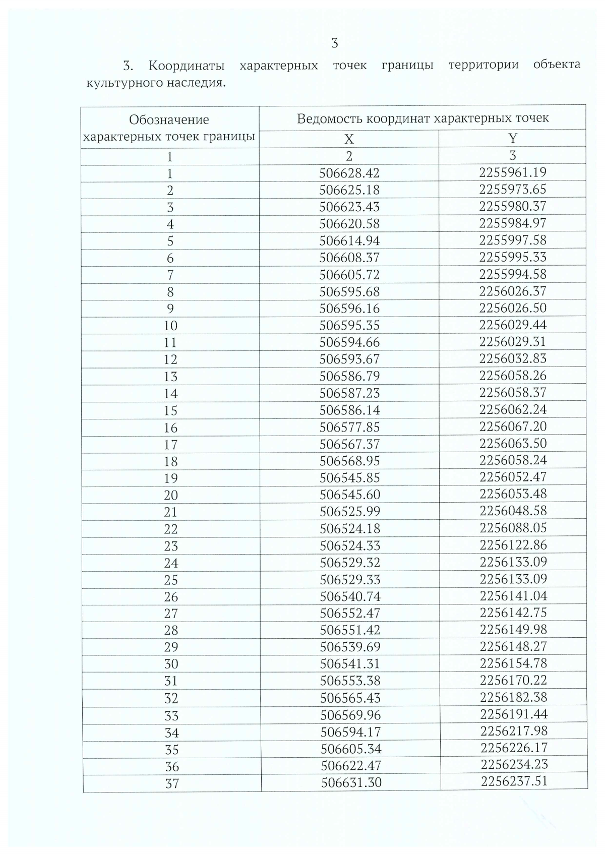
"Об утверждении границ территорий объектов культурного наследия (памятников истории и культуры) народов Российской Федерации регионального значения, расположенных на территории муниципального образования "город Ульяновск"
Номер опубликования: 7300202506090002
Дата опубликования: 09.06.2025
Страница №28 из 33:
Увеличить