Официальное опубликование правовых актов
ОФИЦИАЛЬНОЕ ОПУБЛИКОВАНИЕ
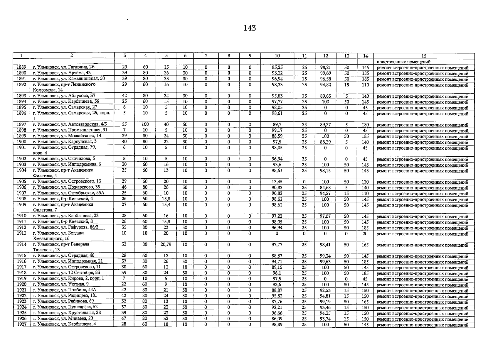
Постановление Правительства Ульяновской области от 21.02.2025 № 81-П
"О внесении изменений в постановление Правительства Ульяновской области от 19.02.2014 № 51-П"
Номер опубликования: 7300202502250001
Дата опубликования: 25.02.2025
Страница №143 из 890:
Увеличить