Официальное опубликование правовых актов
ОФИЦИАЛЬНОЕ ОПУБЛИКОВАНИЕ
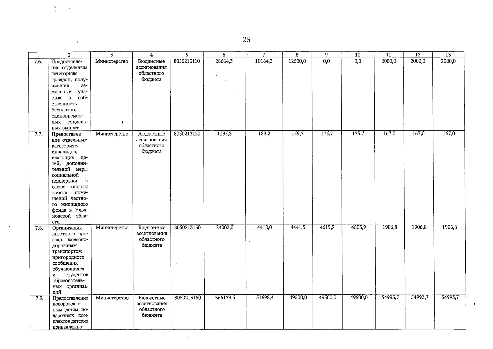
Постановление Правительства Ульяновской области от 31.01.2025 № 1/30-П
"О внесении изменений в государственную программу Ульяновской области "Социальная поддержка и защита населения на территории Ульяновской области"
Номер опубликования: 7300202502050019
Дата опубликования: 05.02.2025
Страница №26 из 47:
Увеличить