Официальное опубликование правовых актов
ОФИЦИАЛЬНОЕ ОПУБЛИКОВАНИЕ
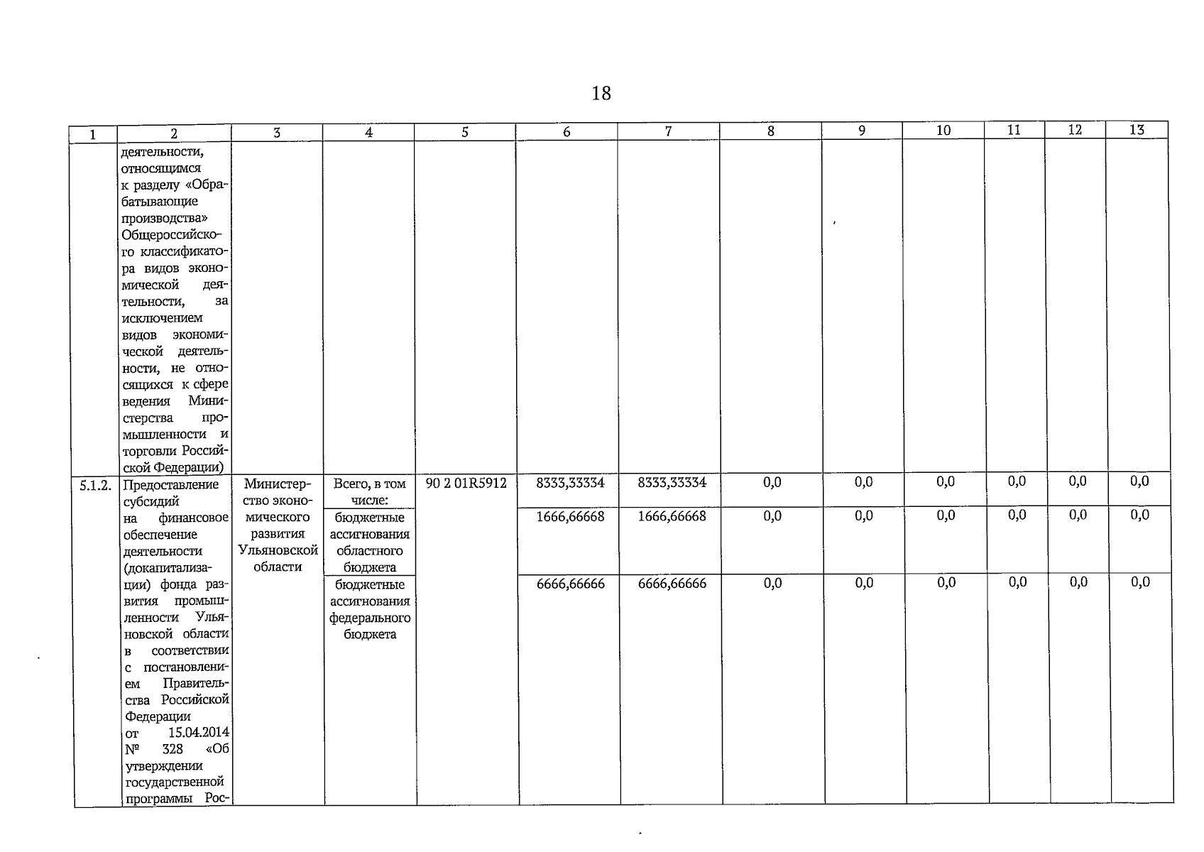
Постановление Правительства Ульяновской области от 31.01.2025 № 1/41-П
"О внесении изменений в государственную программу Ульяновской области "Формирование благоприятного инвестиционного климата в Ульяновской области"
Номер опубликования: 7300202502050003
Дата опубликования: 05.02.2025
Страница №19 из 30:
Увеличить