Официальное опубликование правовых актов
ОФИЦИАЛЬНОЕ ОПУБЛИКОВАНИЕ
Постановление Правительства Ульяновской области от 11.10.2024 № 609-П
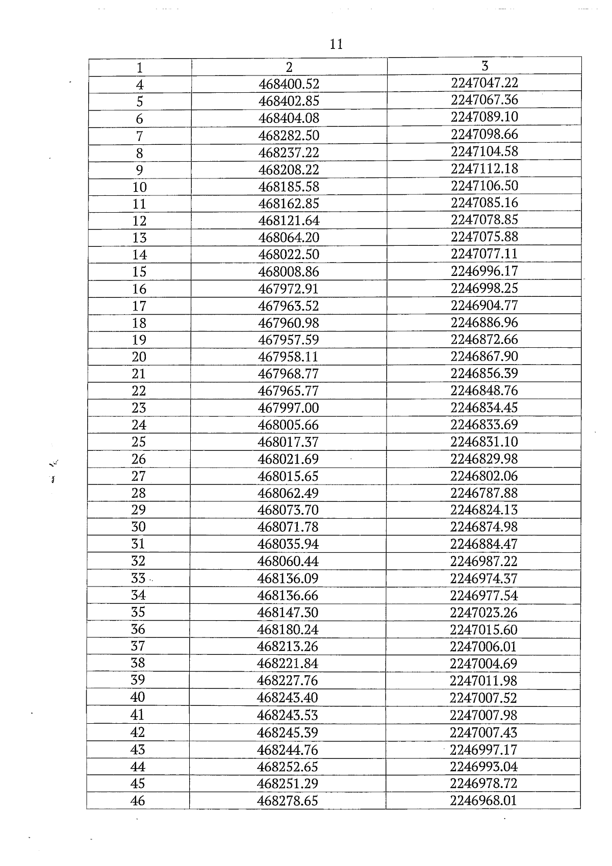
"Об утверждении границ зон охраны объектов культурного наследия регионального значения, расположенных на территории муниципального образования "Тереньгульский район" Ульяновской области, режимов использования земель и требований к градостроительным регламентам в границах территорий данных зон"
Номер опубликования: 7300202410140002
Дата опубликования: 14.10.2024
Страница №13 из 23:
Увеличить