Официальное опубликование правовых актов
ОФИЦИАЛЬНОЕ ОПУБЛИКОВАНИЕ
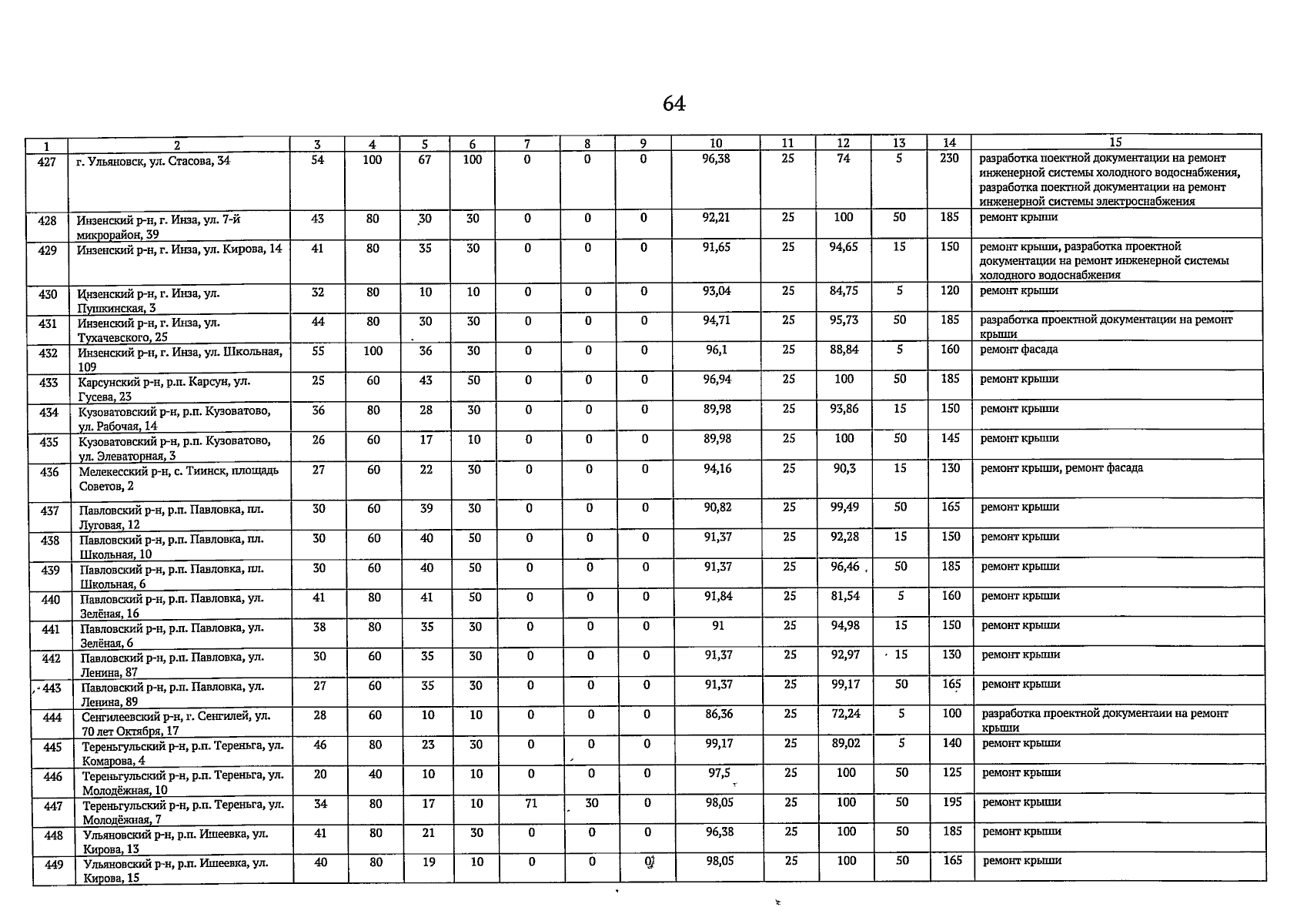
Постановление Правительства Ульяновской области от 17.05.2024 № 276-П
"О внесении изменений в региональную программу капитального ремонта общего имущества в многоквартирных домах, расположенных на территории Ульяновской области"
Номер опубликования: 7300202405200004
Дата опубликования: 20.05.2024
Страница №64 из 810:
Увеличить