Официальное опубликование правовых актов
ОФИЦИАЛЬНОЕ ОПУБЛИКОВАНИЕ
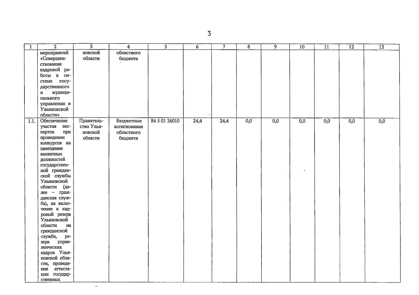
Постановление Правительства Ульяновской области от 05.02.2024 № 3/58-П
"О внесении изменений в государственную программу Ульяновской области "Развитие государственного управления в Ульяновской области"
Номер опубликования: 7300202402140003
Дата опубликования: 14.02.2024
Страница №4 из 9:
Увеличить