Официальное опубликование правовых актов
ОФИЦИАЛЬНОЕ ОПУБЛИКОВАНИЕ
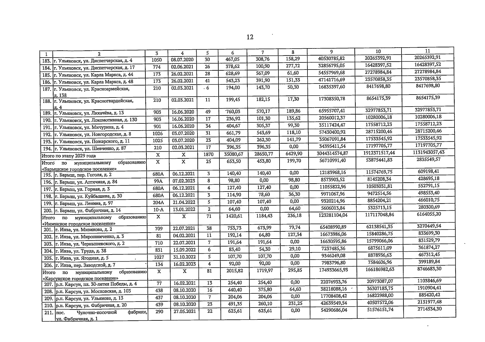
Постановление Правительства Ульяновской области от 21.11.2023 № 597-П
"О внесении изменений в постановление Правительства Ульяновской области от 21.11.2017 № 573-П"
Номер опубликования: 7300202311220001
Дата опубликования: 22.11.2023
Страница №12 из 15:
Увеличить