Официальное опубликование правовых актов
ОФИЦИАЛЬНОЕ ОПУБЛИКОВАНИЕ
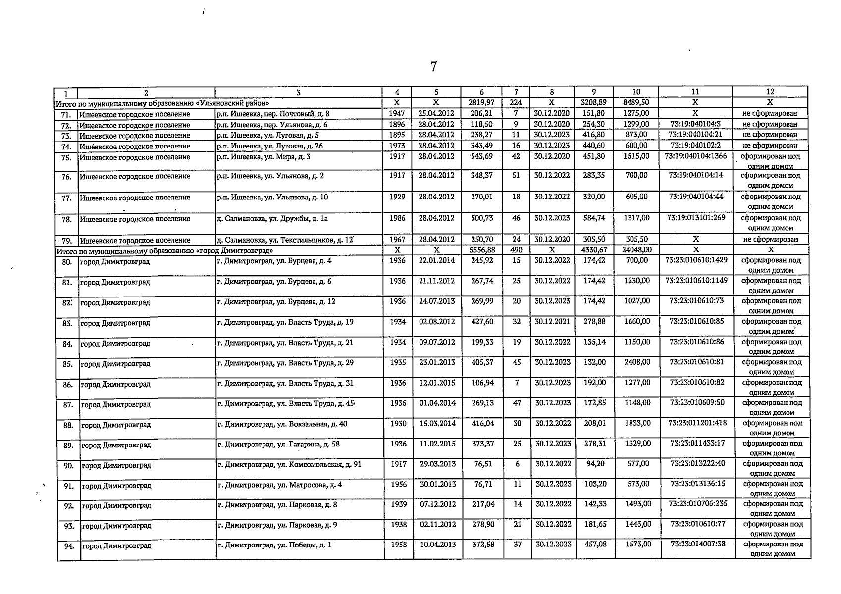
Постановление Правительства Ульяновской области от 17.11.2023 № 585-П
"О внесении изменений в постановление Правительства Ульяновской области от 28.03.2019 № 131-П и о признании утратившим силу отдельного положения постановления Правительства Ульяновской области от 29.12.2021 № 723-П"
Номер опубликования: 7300202311200001
Дата опубликования: 20.11.2023
Страница №7 из 25:
Увеличить