Официальное опубликование правовых актов
ОФИЦИАЛЬНОЕ ОПУБЛИКОВАНИЕ
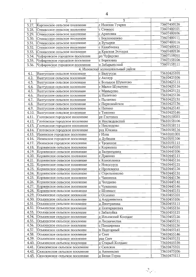
Постановление Правительства Ульяновской области от 06.04.2023 № 147-П
"Об утверждении перечня сельских территорий Ульяновской области, перечня опорных населённых пунктов Ульяновской области и населённых пунктов, расположенных на прилегающих к ним территориях"
Номер опубликования: 7300202304070008
Дата опубликования: 07.04.2023
Страница №5 из 38:
Увеличить