Официальное опубликование правовых актов
ОФИЦИАЛЬНОЕ ОПУБЛИКОВАНИЕ
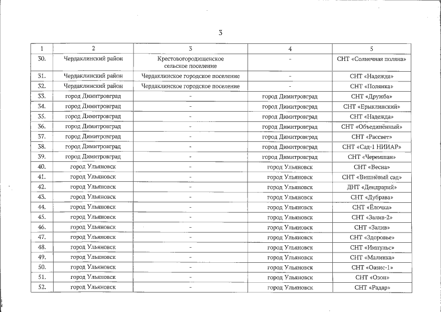
Постановление Правительства Ульяновской области от 22.03.2023 № 123-П
"О некоторых мерах, направленных на обеспечение пожарной безопасности в Ульяновской области"
Номер опубликования: 7300202303230001
Дата опубликования: 23.03.2023
Страница №29 из 30:
Увеличить