Официальное опубликование правовых актов
ОФИЦИАЛЬНОЕ ОПУБЛИКОВАНИЕ
Постановление Правительства Ульяновской области от 24.01.2023 № 25-П
"О внесении изменений в постановление Правительства Ульяновской области от 08.02.2021 № 25-П"
Номер опубликования: 7300202301250002
Дата опубликования: 25.01.2023
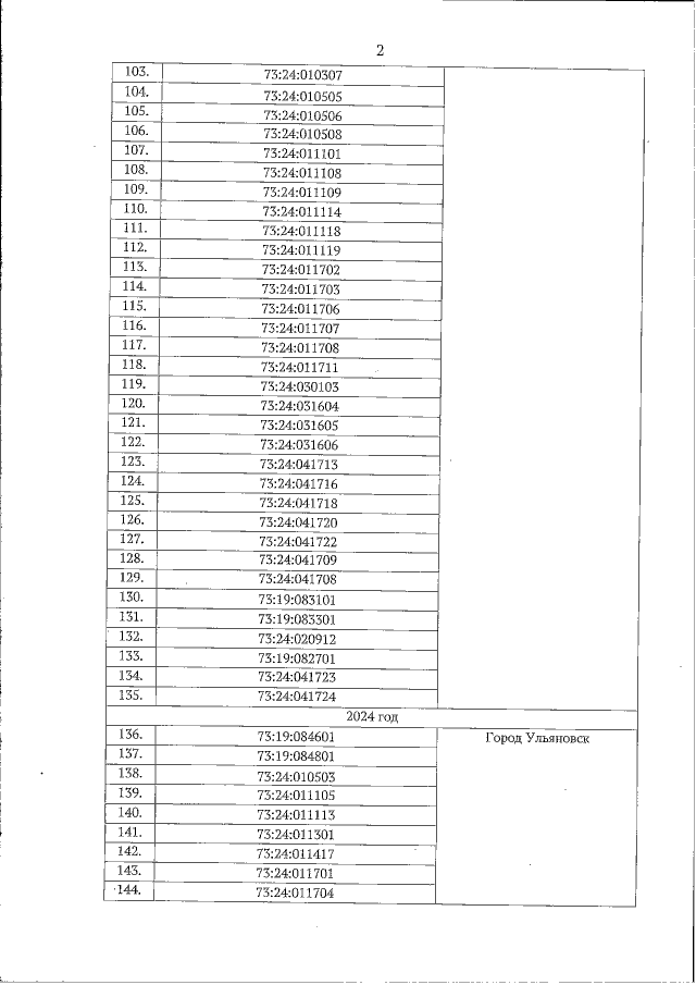
Страница №2 из 3:
Увеличить