Официальное опубликование правовых актов
ОФИЦИАЛЬНОЕ ОПУБЛИКОВАНИЕ
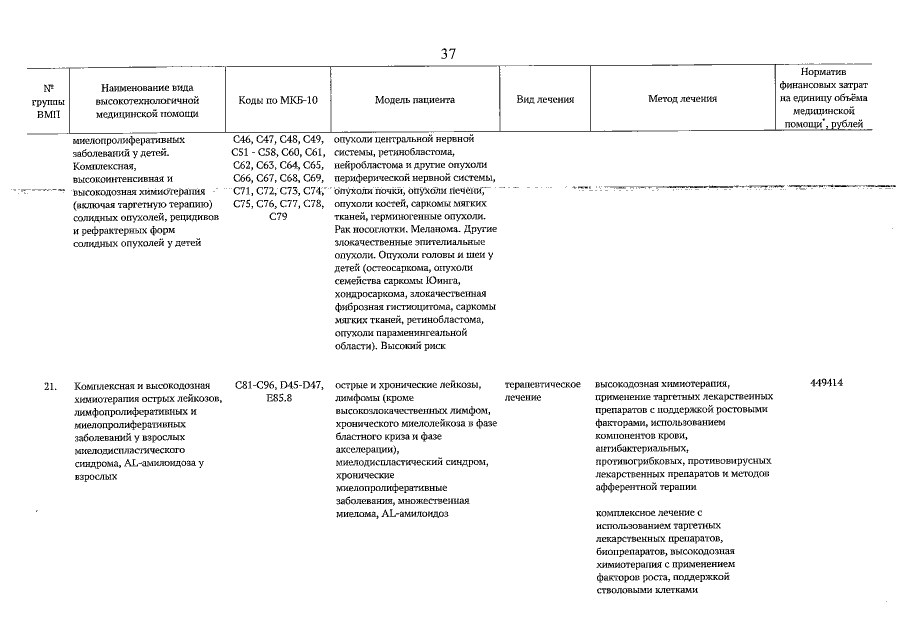
Постановление Правительства Ульяновской области от 29.12.2022 № 828-П
"Об утверждении Территориальной программы государственных гарантий бесплатного оказания гражданам медицинской помощи на территории Ульяновской области на 2023 год и на плановый период 2024 и 2025 годов"
Номер опубликования: 7300202212300009
Дата опубликования: 30.12.2022
Страница №100 из 637:
Увеличить