Официальное опубликование правовых актов
ОФИЦИАЛЬНОЕ ОПУБЛИКОВАНИЕ
Постановление Правительства Ульяновской области от 14.11.2022 № 686-П
"О внесении изменений в постановление Правительства Ульяновской области от 28.03.2019 № 131-П"
Номер опубликования: 7300202211150004
Дата опубликования: 15.11.2022
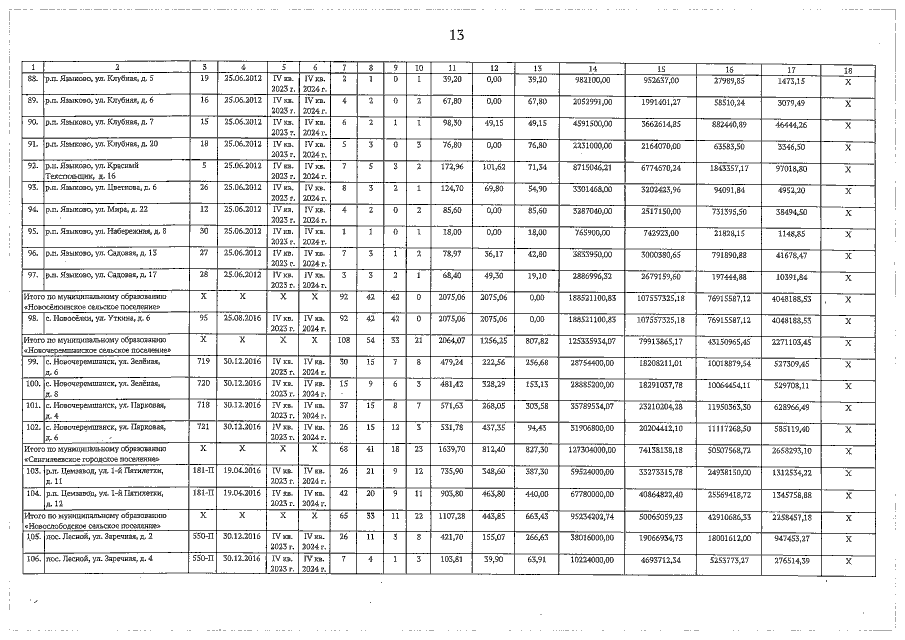
Страница №13 из 15:
Увеличить