Официальное опубликование правовых актов
ОФИЦИАЛЬНОЕ ОПУБЛИКОВАНИЕ
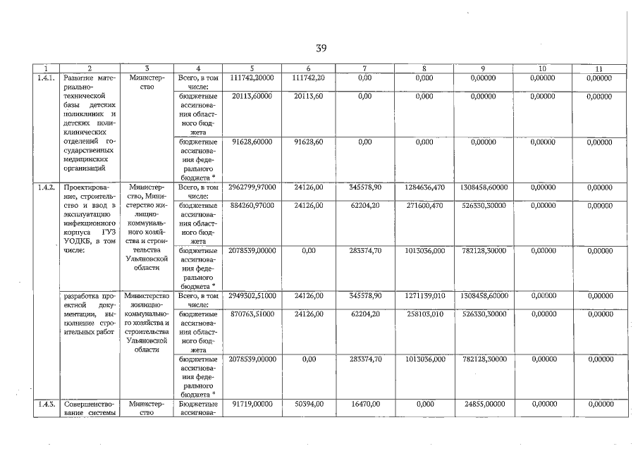
Постановление Правительства Ульяновской области от 26.10.2022 № 19/616-П
"О внесении изменений в государственную программу Ульяновской области "Развитие здравоохранения в Ульяновской области"
Номер опубликования: 7300202211010004
Дата опубликования: 01.11.2022
Страница №40 из 108:
Увеличить