Официальное опубликование правовых актов
ОФИЦИАЛЬНОЕ ОПУБЛИКОВАНИЕ
Постановление Правительства Ульяновской области от 07.10.2022 № 575-П
"О внесении изменений в постановление Правительства Ульяновской области от 11.12.2020 № 750-П"
Номер опубликования: 7300202210100009
Дата опубликования: 10.10.2022
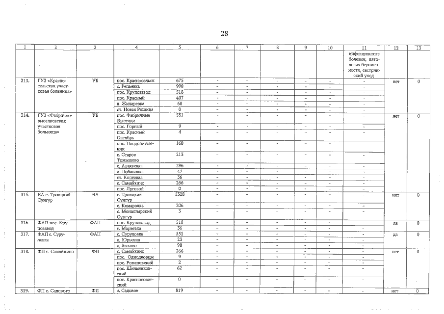
Страница №28 из 210:
Увеличить