Официальное опубликование правовых актов
ОФИЦИАЛЬНОЕ ОПУБЛИКОВАНИЕ
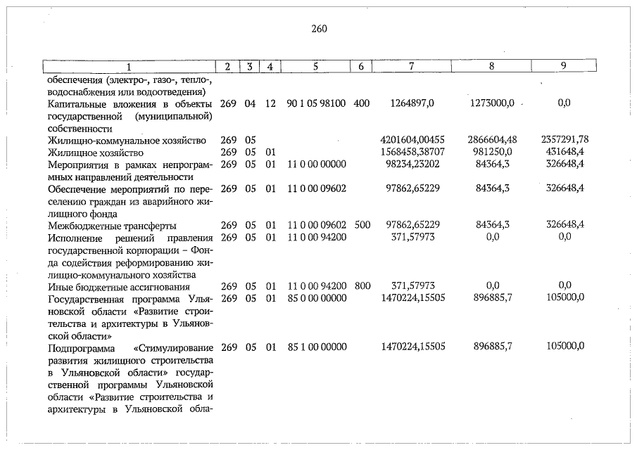
Закон Ульяновской области от 30.09.2022 № 98-ЗО
"О внесении изменений в Закон Ульяновской области "Об областном бюджете Ульяновской области на 2022 год и на плановый период 2023 и 2024 годов"
Номер опубликования: 7300202210030001
Дата опубликования: 03.10.2022
Страница №260 из 1031:
Увеличить