Официальное опубликование правовых актов
ОФИЦИАЛЬНОЕ ОПУБЛИКОВАНИЕ
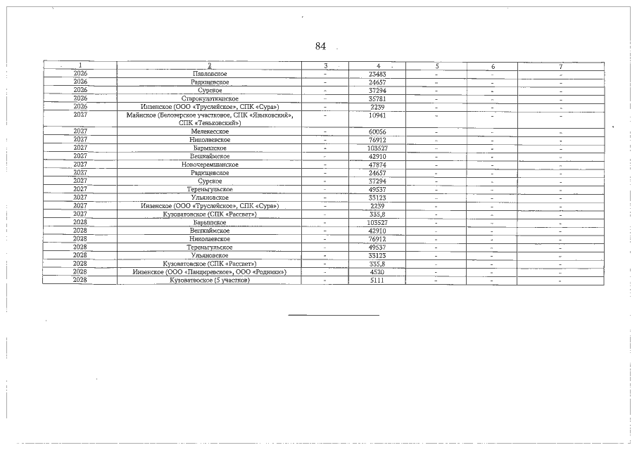
Указ Губернатора Ульяновской области от 22.09.2022 № 121
"О внесении изменений в лесной план Ульяновской области на 2019-2028 годы"
Номер опубликования: 7300202209260007
Дата опубликования: 26.09.2022
Страница №85 из 96:
Увеличить