Официальное опубликование правовых актов
ОФИЦИАЛЬНОЕ ОПУБЛИКОВАНИЕ
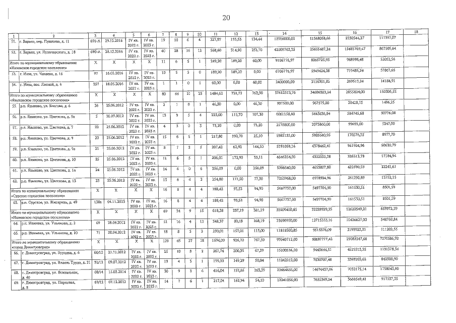
Постановление Правительства Ульяновской области от 05.07.2022 № 365-П
"О внесении изменений в постановление Правительства Ульяновской области от 28.03.2019 № 131-П"
Номер опубликования: 7300202207060001
Дата опубликования: 06.07.2022
Страница №20 из 27:
Увеличить