Официальное опубликование правовых актов
ОФИЦИАЛЬНОЕ ОПУБЛИКОВАНИЕ
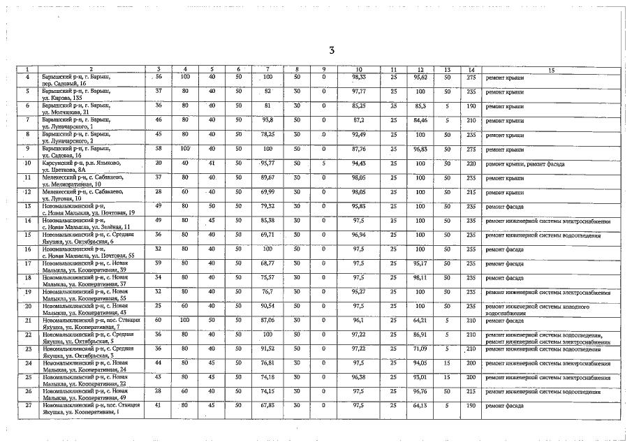
Постановление Правительства Ульяновской области от 21.06.2022 № 334-П
"О внесении изменений в региональную программу капитального ремонта общего имущества в многоквартирных домах, расположенных на территории Ульяновской области, на 2014-2044 годы"
Номер опубликования: 7300202206230004
Дата опубликования: 23.06.2022
Страница №3 из 776:
Увеличить