Официальное опубликование правовых актов
ОФИЦИАЛЬНОЕ ОПУБЛИКОВАНИЕ
Постановление Правительства Ульяновской области от 31.05.2022 № 295-П
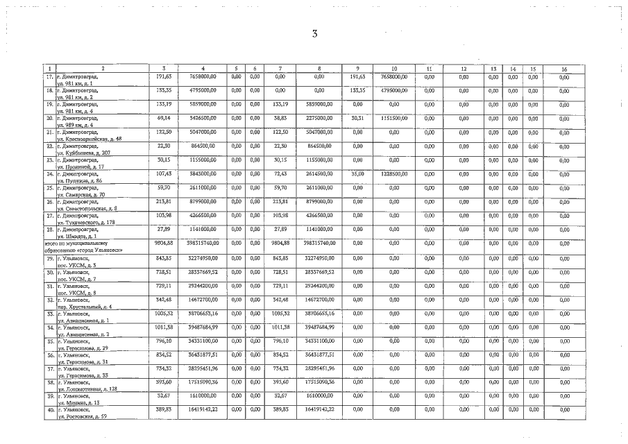
"Об утверждении итогов реализации мероприятий по переселению граждан, проживающих на территории Ульяновской области, из аварийного жилищного фонда, признанного таковым до 1 января 2012 года, в 2014-2017 годах по заявкам 2015 и 2016 годов на предоставление финансовой поддержки Ульяновской области за счёт средств государственной корпорации – Фонда содействия реформированию жилищно-коммунального хозяйства в части расходования средств"
Номер опубликования: 7300202206010006
Дата опубликования: 01.06.2022
Страница №13 из 21:
Увеличить