Официальное опубликование правовых актов
ОФИЦИАЛЬНОЕ ОПУБЛИКОВАНИЕ
Указ Губернатора Ульяновской области от 15.04.2022 № 43
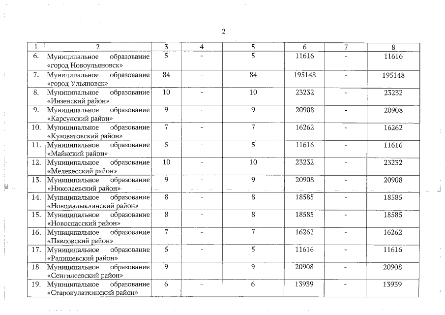
"Об утверждении государственного заказа Ульяновской области на мероприятия по профессиональному развитию государственных гражданских служащих Ульяновской области и дополнительное профессиональное образование муниципальных служащих в Ульяновской области на 2022 год"
Номер опубликования: 7300202204200015
Дата опубликования: 20.04.2022
Страница №10 из 11:
Увеличить