Официальное опубликование правовых актов
ОФИЦИАЛЬНОЕ ОПУБЛИКОВАНИЕ
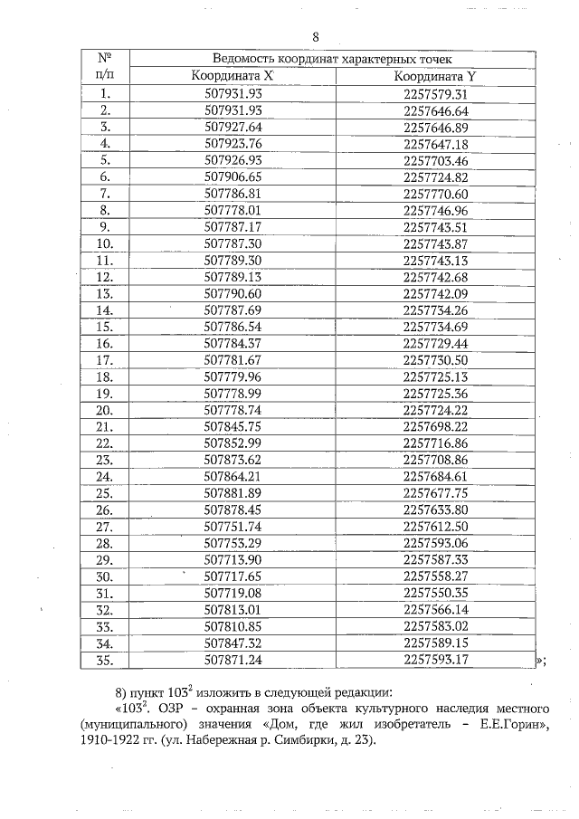
Постановление Правительства Ульяновской области от 19.11.2021 № 586-П
"О внесении изменений в постановление Правительства Ульяновской области от 02.07.2009 № 256-П"
Номер опубликования: 7300202111230003
Дата опубликования: 23.11.2021
Страница №8 из 19:
Увеличить