Официальное опубликование правовых актов
ОФИЦИАЛЬНОЕ ОПУБЛИКОВАНИЕ
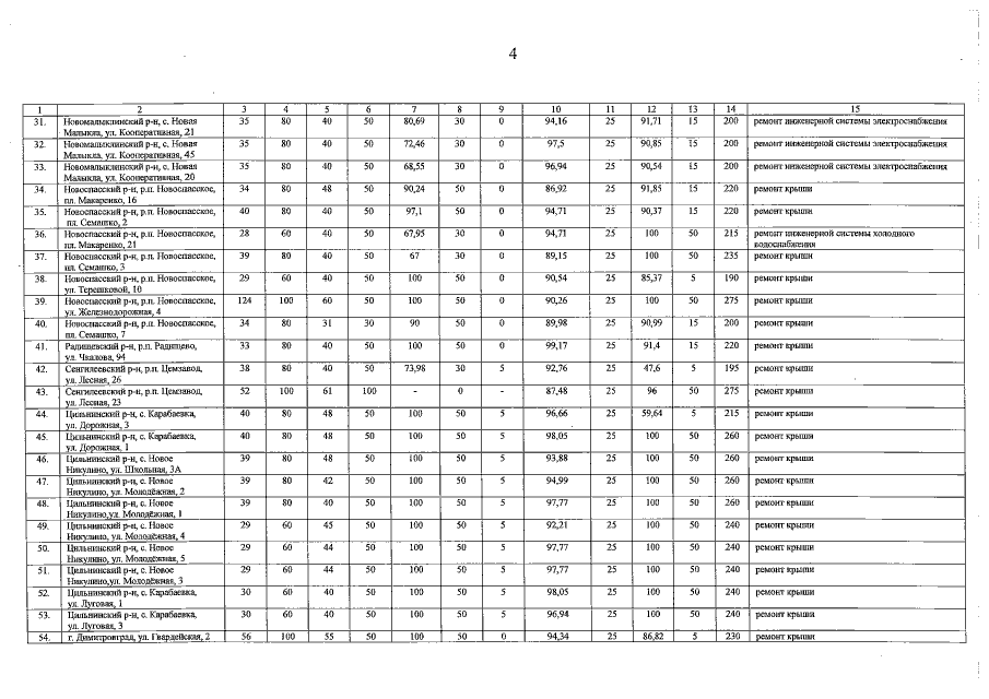
Постановление Правительства Ульяновской области от 13.12.2018 № 644-П
"О внесении изменения в постановление Правительства Ульяновской области от 19.02.2014 № 51-П"
Номер опубликования: 7300201812210002
Дата опубликования: 21.12.2018
Страница №4 из 767:
Увеличить