Официальное опубликование правовых актов
ОФИЦИАЛЬНОЕ ОПУБЛИКОВАНИЕ
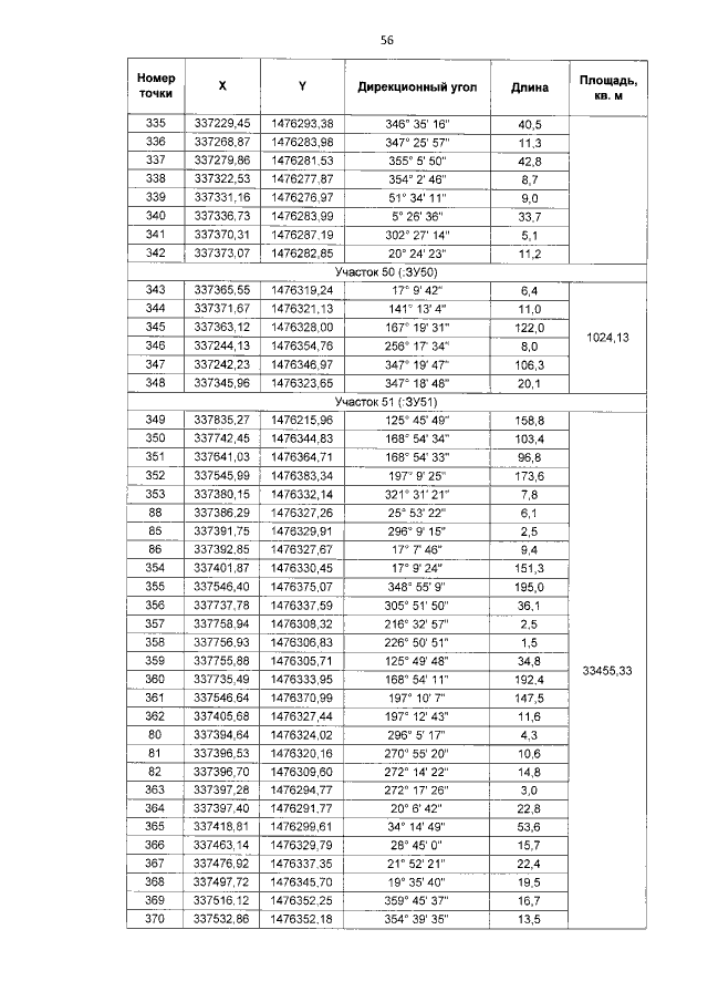
Постановление Правительства Тюменской области от 09.08.2016 № 338-п "Об утверждении документации по планировке территории (проект планировки территории, проект межевания территории), предназначенной для размещения линейного объекта транспортной инфраструктуры регионального значения"
Номер опубликования: 7200201608120007
Дата опубликования: 12.08.2016
Страница №58 из 73:
Увеличить