Официальное опубликование правовых актов
ОФИЦИАЛЬНОЕ ОПУБЛИКОВАНИЕ
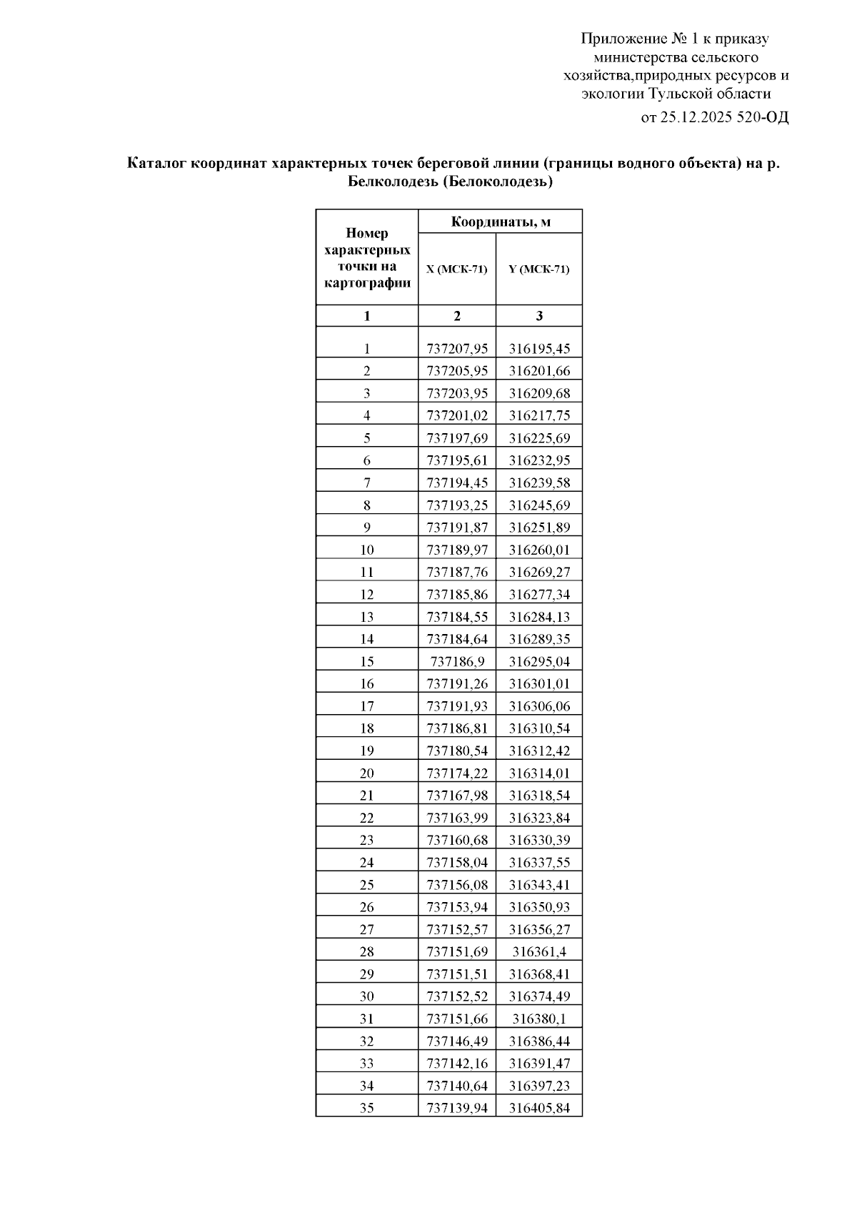
Приказ Министерства сельского хозяйства, природных ресурсов и экологии Тульской области от 25.12.2025 № 520-ОД
"Об утверждении каталогов координат береговых линий (границ водных объектов), границ водоохранных зон и границ прибрежных защитных полос р. Белколодезь (Белоколодезь) на территории Тульской области"
(Зарегистрирован 25.12.2025 № 520-ОД)
Номер опубликования: 7101202512300006
Дата опубликования: 30.12.2025
Страница №2 из 133:
Увеличить