Официальное опубликование правовых актов
ОФИЦИАЛЬНОЕ ОПУБЛИКОВАНИЕ
Приказ Комитета Тульской области по архитектуре и градостроительству от 26.03.2025 № 22
"О внесении изменений и дополнений в правила землепользования и застройки муниципального образования город Тула, утверждённые постановлением администрации муниципального образования города Тулы от 24.02.2021 № 312"
(Зарегистрирован 26.03.2025 № 22)
Номер опубликования: 7101202504020002
Дата опубликования: 02.04.2025
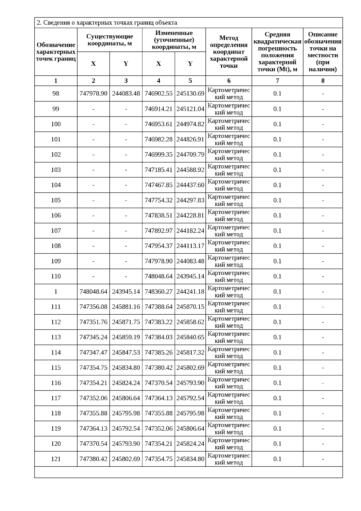
Страница №110 из 308:
Увеличить