Официальное опубликование правовых актов
ОФИЦИАЛЬНОЕ ОПУБЛИКОВАНИЕ
Приказ Министерства природных ресурсов и экологии Тульской области от 25.09.2024 № 336-о
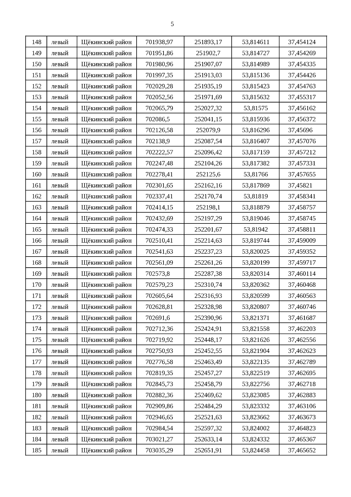
"Об утверждении каталогов координат береговых линий (границ водных объектов), границ водоохранных зон и границ прибрежных защитных полос р. Невежа, р. Камушки, р. Крапивенка, р. Сорочка, р. Свинка, р. Студенец, р. Плиска, р. Белевка, р. Батурка, р. Шатец, р. Сухая Гать на территории Тульской области"
(Зарегистрирован 25.09.2024 № 336-о)
Номер опубликования: 7101202410030002
Дата опубликования: 03.10.2024
Страница №113 из 1500:
Увеличить