Официальное опубликование правовых актов
ОФИЦИАЛЬНОЕ ОПУБЛИКОВАНИЕ
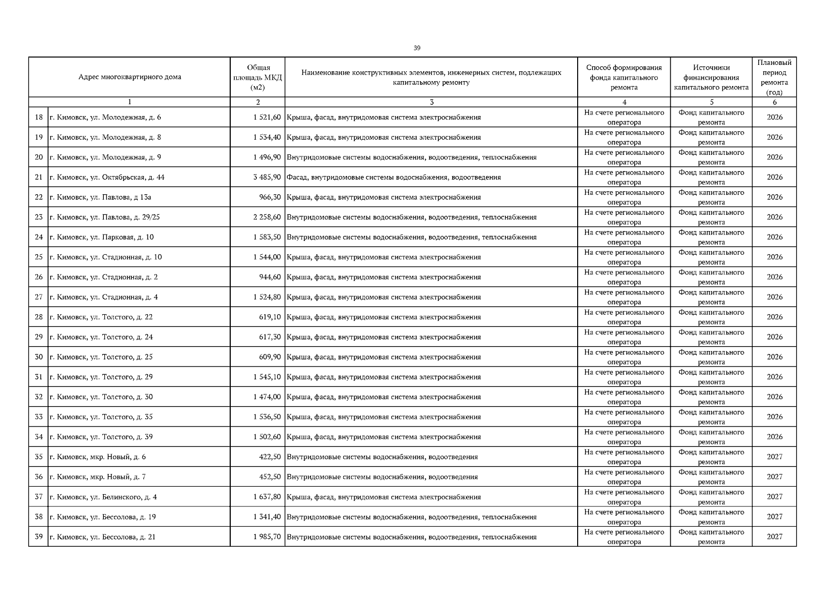
Постановление Правительства Тульской области от 28.02.2025 № 112
"Об утверждении краткосрочного плана реализации региональной программы капитального ремонта общего имущества в многоквартирных домах на территории Тульской области на 2026-2028 годы"
Номер опубликования: 7100202503050022
Дата опубликования: 05.03.2025
Страница №40 из 188:
Увеличить