Официальное опубликование правовых актов
ОФИЦИАЛЬНОЕ ОПУБЛИКОВАНИЕ
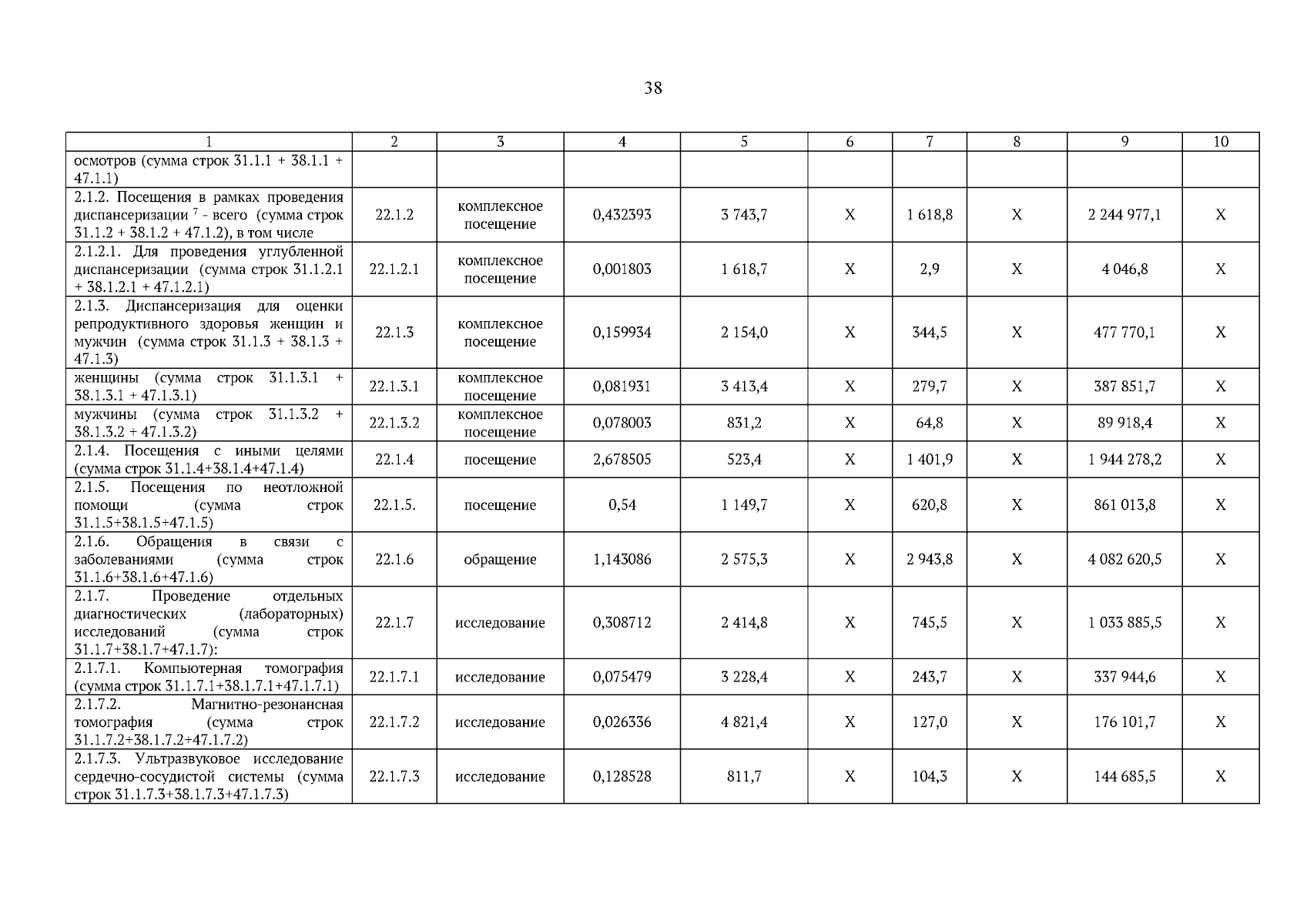
Постановление Правительства Тульской области от 28.12.2024 № 736
"О территориальной Программе государственных гарантий бесплатного оказания населению Тульской области медицинской помощи на 2025 год и на плановый период 2026 и 2027 годов"
Номер опубликования: 7100202412290014
Дата опубликования: 29.12.2024
Страница №129 из 340:
Увеличить