Официальное опубликование правовых актов
ОФИЦИАЛЬНОЕ ОПУБЛИКОВАНИЕ
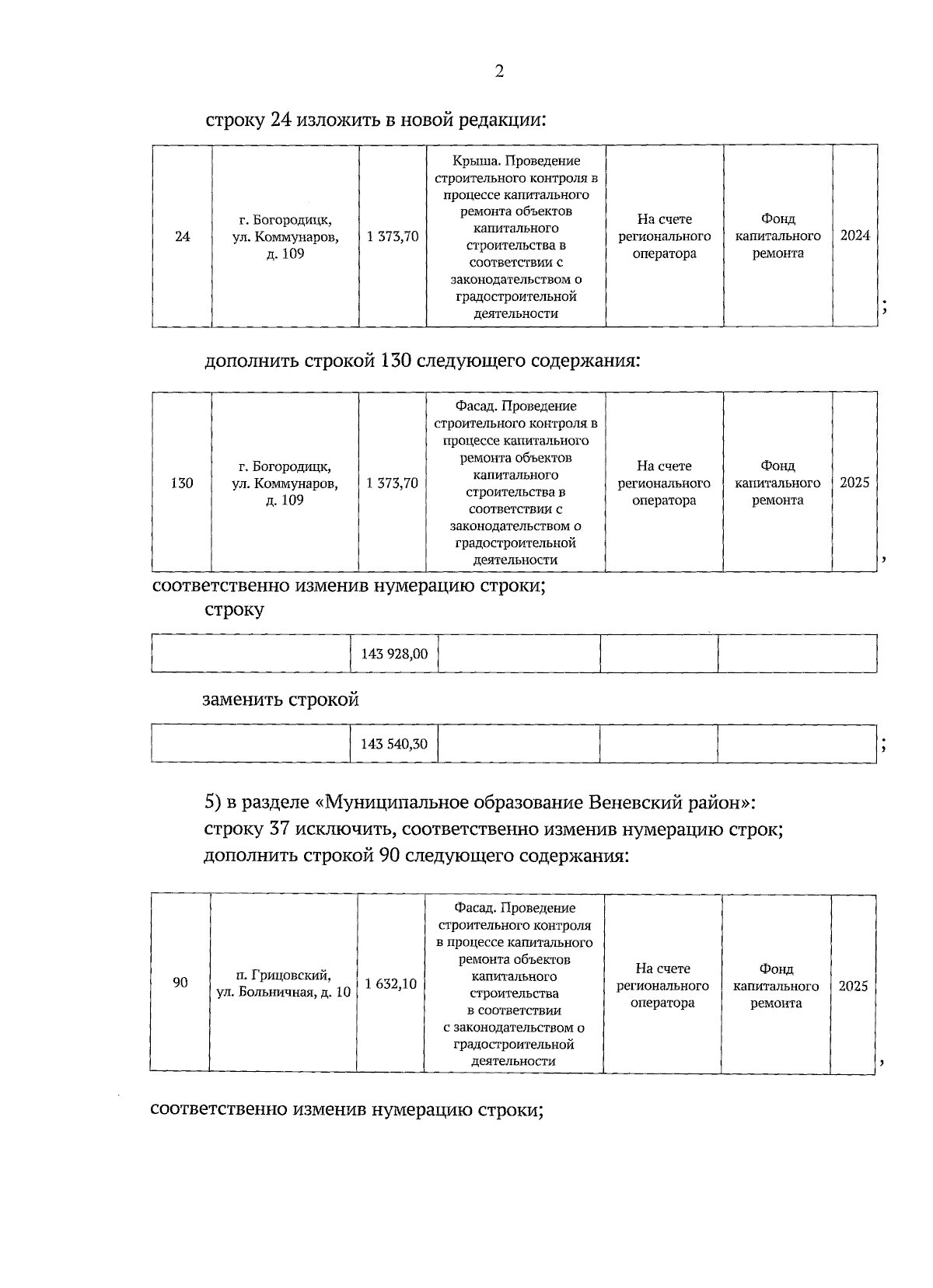
Постановление Правительства Тульской области от 07.11.2024 № 582
"О внесении изменений и дополнений в постановление правительства Тульской области от 25.02.2022 № 104"
Номер опубликования: 7100202411080007
Дата опубликования: 08.11.2024
Страница №3 из 11:
Увеличить