Официальное опубликование правовых актов
ОФИЦИАЛЬНОЕ ОПУБЛИКОВАНИЕ
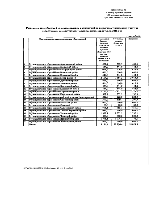
Закон Тульской области от 15.07.2016 № 59-ЗТО
"Об исполнении бюджета Тульской области за 2015 год"
Номер опубликования: 7100201607210003
Дата опубликования: 21.07.2016
Страница №1579 из 1621:
Увеличить