Официальное опубликование правовых актов
ОФИЦИАЛЬНОЕ ОПУБЛИКОВАНИЕ
Постановление Правительства Тульской области от 28.12.2015 № 610
"О внесении изменений в постановление правительства Тульской области от 22.05.2014 № 261"
Номер опубликования: 7100201512300008
Дата опубликования: 30.12.2015
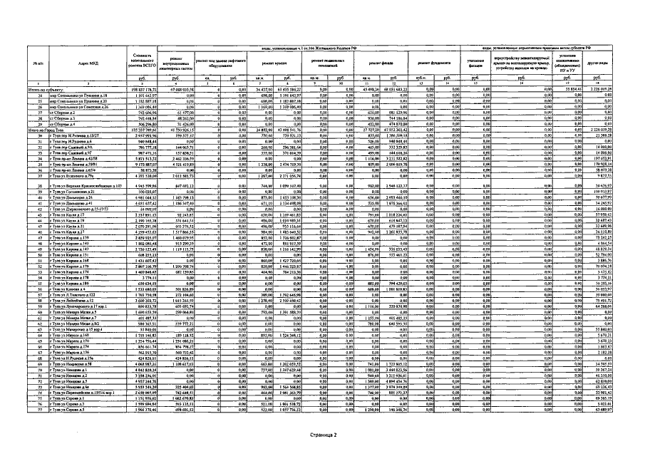
Страница №7 из 8:
Увеличить