Официальное опубликование правовых актов
ОФИЦИАЛЬНОЕ ОПУБЛИКОВАНИЕ
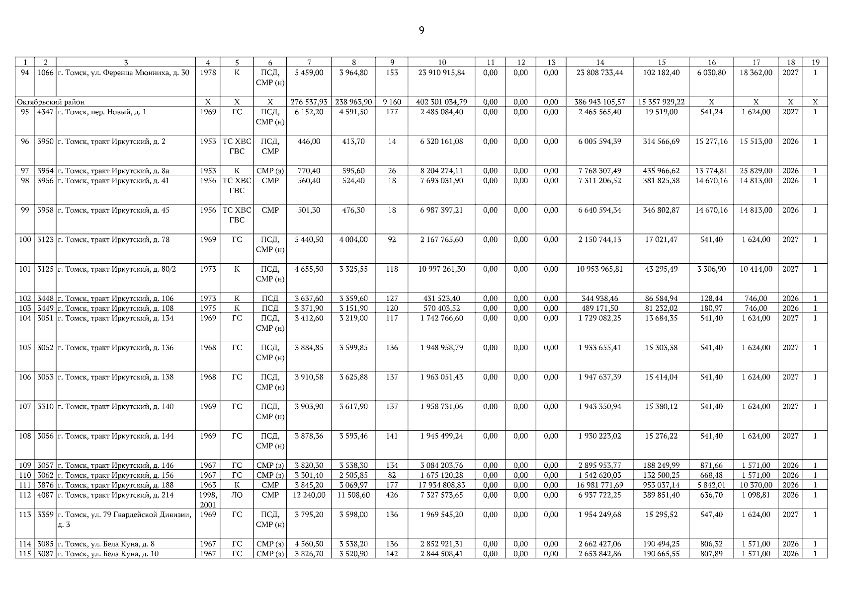
Приказ Департамента ЖКХ и государственного жилищного надзора Томской области от 20.04.2026 № 11
"О внесении изменения в приказ Департамента ЖКХ и государственного жилищного надзора Томской области от 10.12.2024 № 58"
(Зарегистрирован 22.04.2026 № 421-71/2026)
Номер опубликования: 7001202604230002
Дата опубликования: 23.04.2026
Страница №9 из 106:
Увеличить