Официальное опубликование правовых актов
ОФИЦИАЛЬНОЕ ОПУБЛИКОВАНИЕ
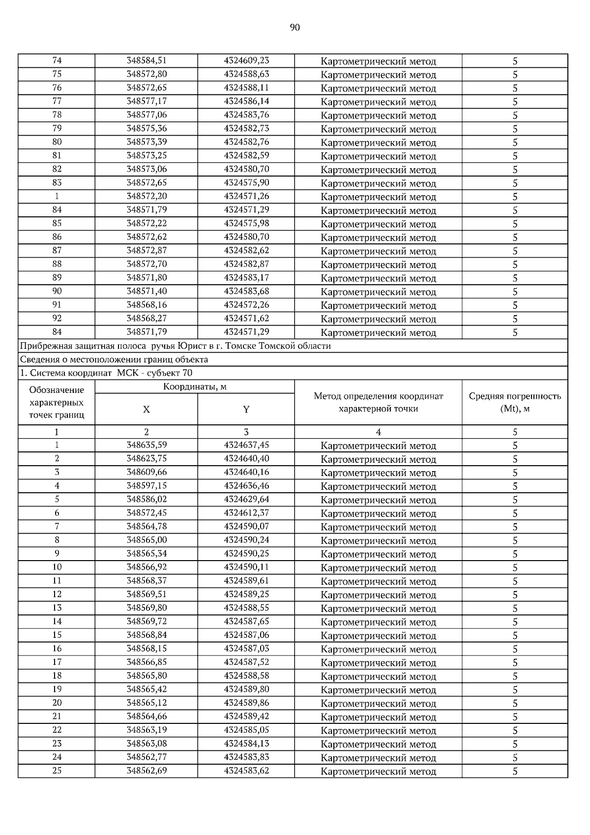
Приказ Департамента природных ресурсов и охраны окружающей среды Томской области от 01.04.2026 № 117
"О внесении изменений в приказ Департамента природных ресурсов и охраны окружающей среды Томской области от 26.12.2023 № 201"
(Зарегистрирован 02.04.2026 № 358-63/2026)
Номер опубликования: 7001202604030001
Дата опубликования: 03.04.2026
Страница №90 из 97:
Увеличить