Официальное опубликование правовых актов
ОФИЦИАЛЬНОЕ ОПУБЛИКОВАНИЕ
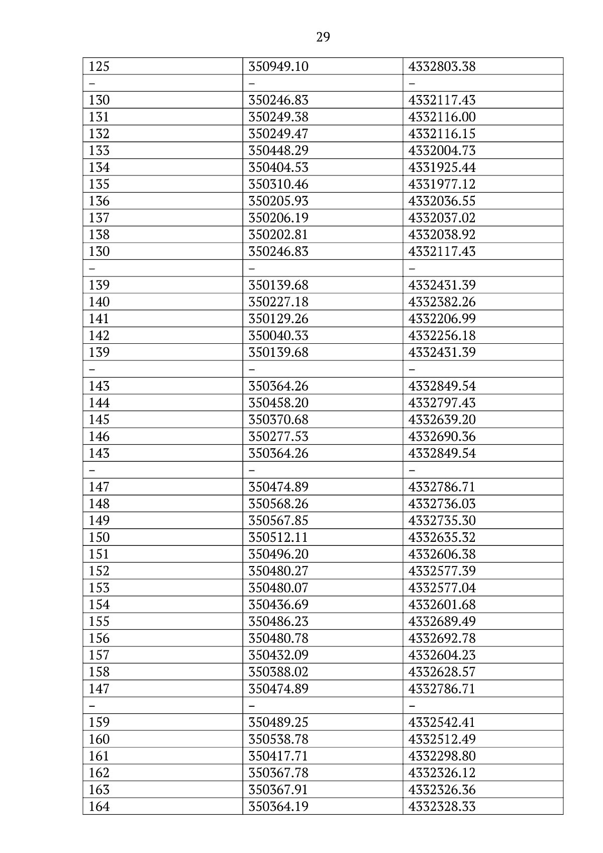
Приказ Департамента градостроительного развития Томской области от 27.02.2026 № 19
"Об утверждении проекта планировки и проекта межевания территории линейного объекта: "Реконструкция ул. Академика Сахарова в г. Томске"
(Зарегистрирован 02.03.2026 № 240-91/2026)
Номер опубликования: 7001202603030005
Дата опубликования: 03.03.2026
Страница №29 из 35: