Официальное опубликование правовых актов
ОФИЦИАЛЬНОЕ ОПУБЛИКОВАНИЕ
Приказ Департамента тарифного регулирования Томской области от 22.12.2025 № 6-68/9(659)
"О внесении изменений в приказ Департамента тарифного регулирования Томской области от 29.12.2023 № 6-640"
(Зарегистрирован 26.12.2025 № 2034-53/2025)
Номер опубликования: 7001202512290028
Дата опубликования: 29.12.2025
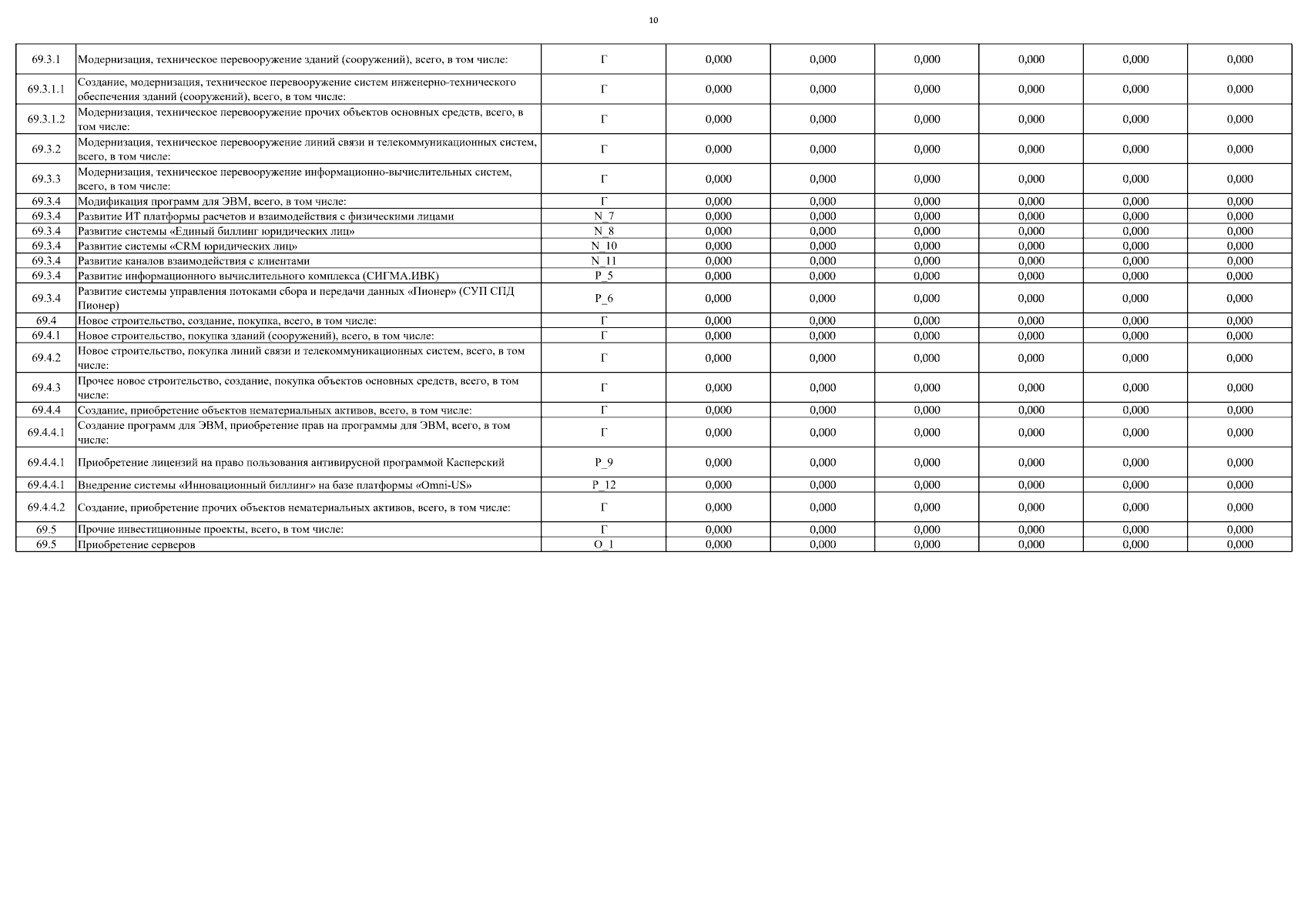
Страница №10 из 34:
Увеличить