Официальное опубликование правовых актов
ОФИЦИАЛЬНОЕ ОПУБЛИКОВАНИЕ
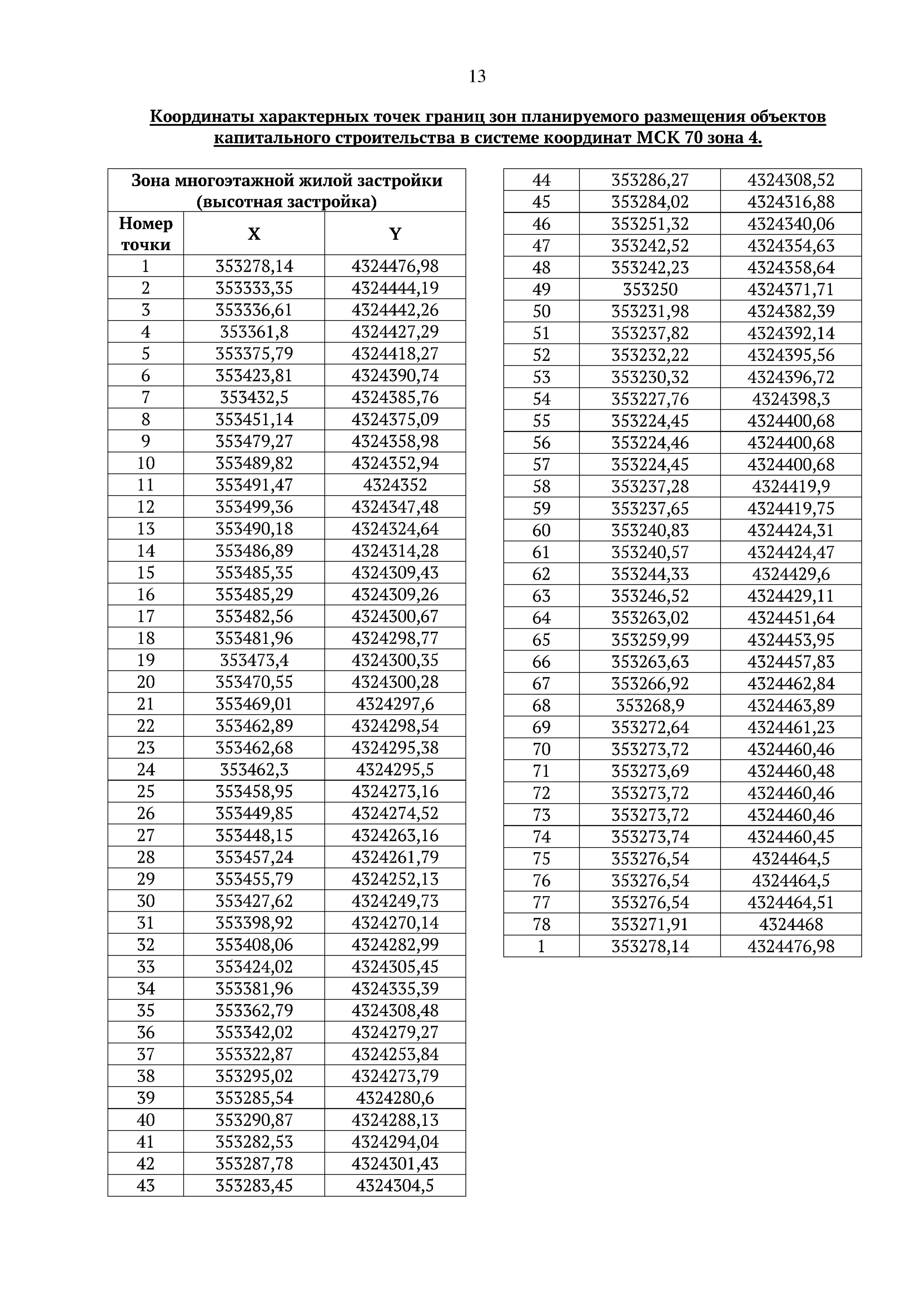
Приказ Департамента градостроительного развития Томской области от 16.12.2025 № 146
"Об утверждении проекта планировки и проекта межевания территории для целей комплексного развития территории, расположенной в границах земельных участков 70:21:0100036:3526, 70:21:0100036:3530, 70:21:0100036:3529, 70:21:0100036:3533, 70:21:0100036:3532 в г. Томске"
(Зарегистрирован 17.12.2025 № 1739-91/2025)
Номер опубликования: 7001202512180011
Дата опубликования: 18.12.2025
Страница №13 из 30: