Официальное опубликование правовых актов
ОФИЦИАЛЬНОЕ ОПУБЛИКОВАНИЕ
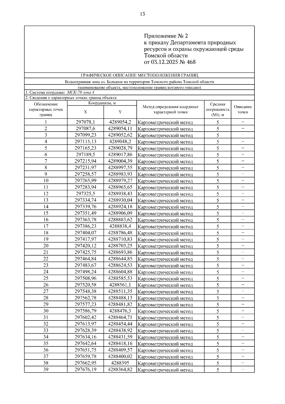
Приказ Департамента природных ресурсов и охраны окружающей среды Томской области от 03.12.2025 № 468
"Об установлении местоположения береговой линии (границы водного объекта), границ прибрежной защитной полосы и водоохранной зоны оз. Большое на территории Томского района Томской области"
(Зарегистрирован 03.12.2025 № 1393-63/2025)
Номер опубликования: 7001202512080001
Дата опубликования: 08.12.2025
Страница №13 из 48:
Увеличить