Официальное опубликование правовых актов
ОФИЦИАЛЬНОЕ ОПУБЛИКОВАНИЕ
Приказ Департамента тарифного регулирования Томской области от 20.11.2025 № 1-516/9(177)
"О внесении изменений в приказ Департамента тарифного регулирования Томской области от 30.10.2023 № 1-601/9(109)"
(Зарегистрирован 26.11.2025 № 1352-53/2025)
Номер опубликования: 7001202511270001
Дата опубликования: 27.11.2025
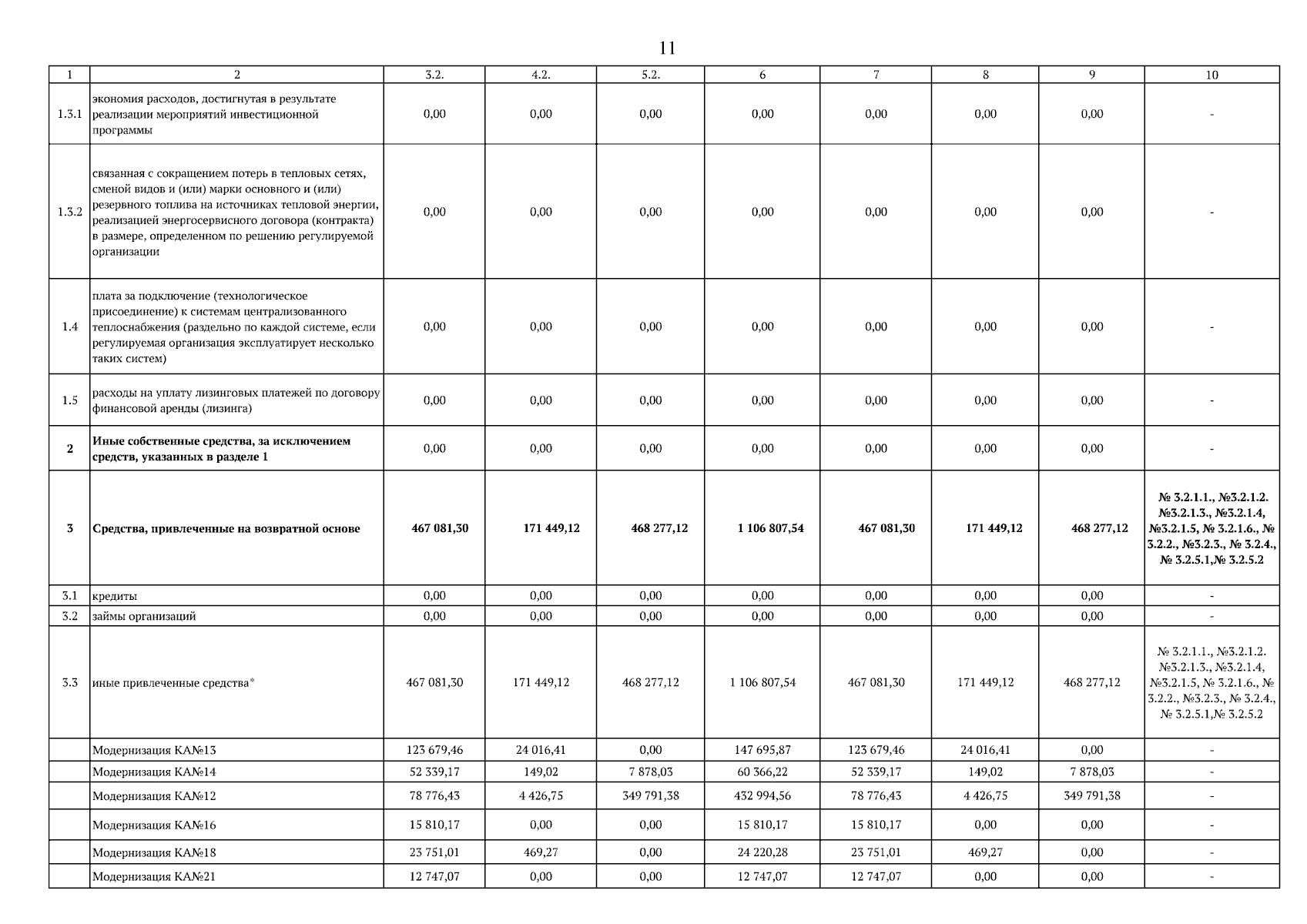
Страница №11 из 12:
Увеличить