Официальное опубликование правовых актов
ОФИЦИАЛЬНОЕ ОПУБЛИКОВАНИЕ
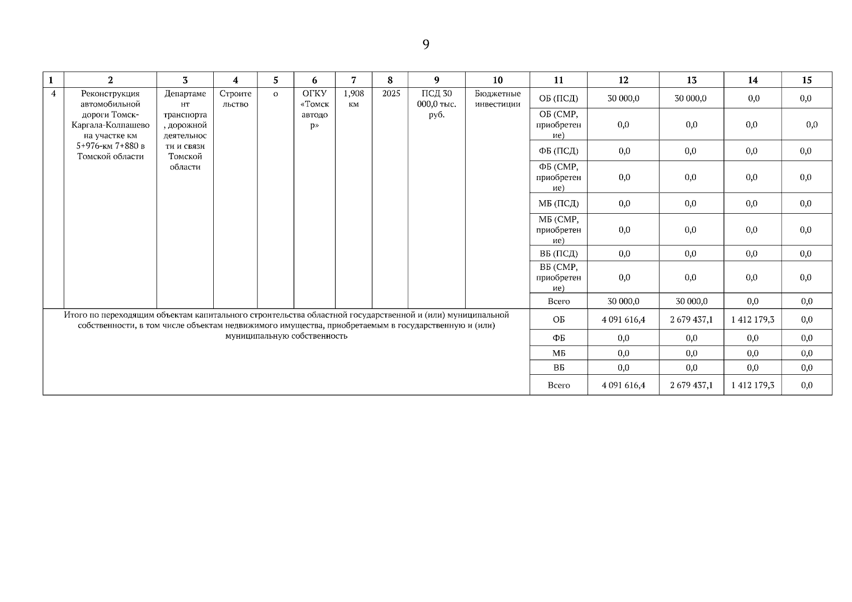
Приказ Департамента транспорта, дорожной деятельности и связи Томской области от 10.11.2025 № 43
"О внесении изменений в приказ Департамента транспорта, дорожной деятельности и связи Томской области от 02.10.2024 №45"
(Зарегистрирован 11.11.2025 № 1285-76/2025)
Номер опубликования: 7001202511120004
Дата опубликования: 12.11.2025
Страница №9 из 21:
Увеличить