Официальное опубликование правовых актов
ОФИЦИАЛЬНОЕ ОПУБЛИКОВАНИЕ
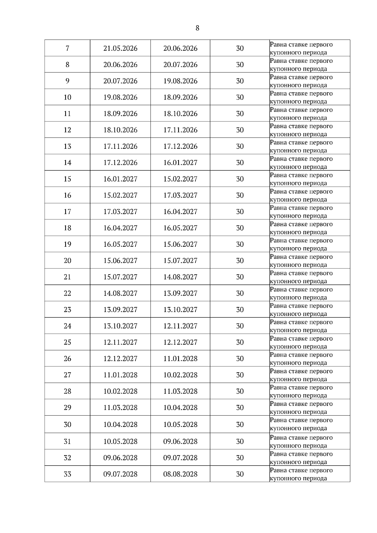
Приказ Департамента финансов Томской области от 30.10.2025 № 25
"Об утверждении решения об эмиссии облигаций биржевого внутреннего займа Томской области 2025 года с фиксированным купонным доходом и амортизацией долга"
(Зарегистрирован 31.10.2025 № 1249-50/2025)
Номер опубликования: 7001202511010002
Дата опубликования: 01.11.2025
Страница №9 из 17:
Увеличить