Официальное опубликование правовых актов
ОФИЦИАЛЬНОЕ ОПУБЛИКОВАНИЕ
Приказ Департамента градостроительного развития Томской области от 03.10.2025 № 92
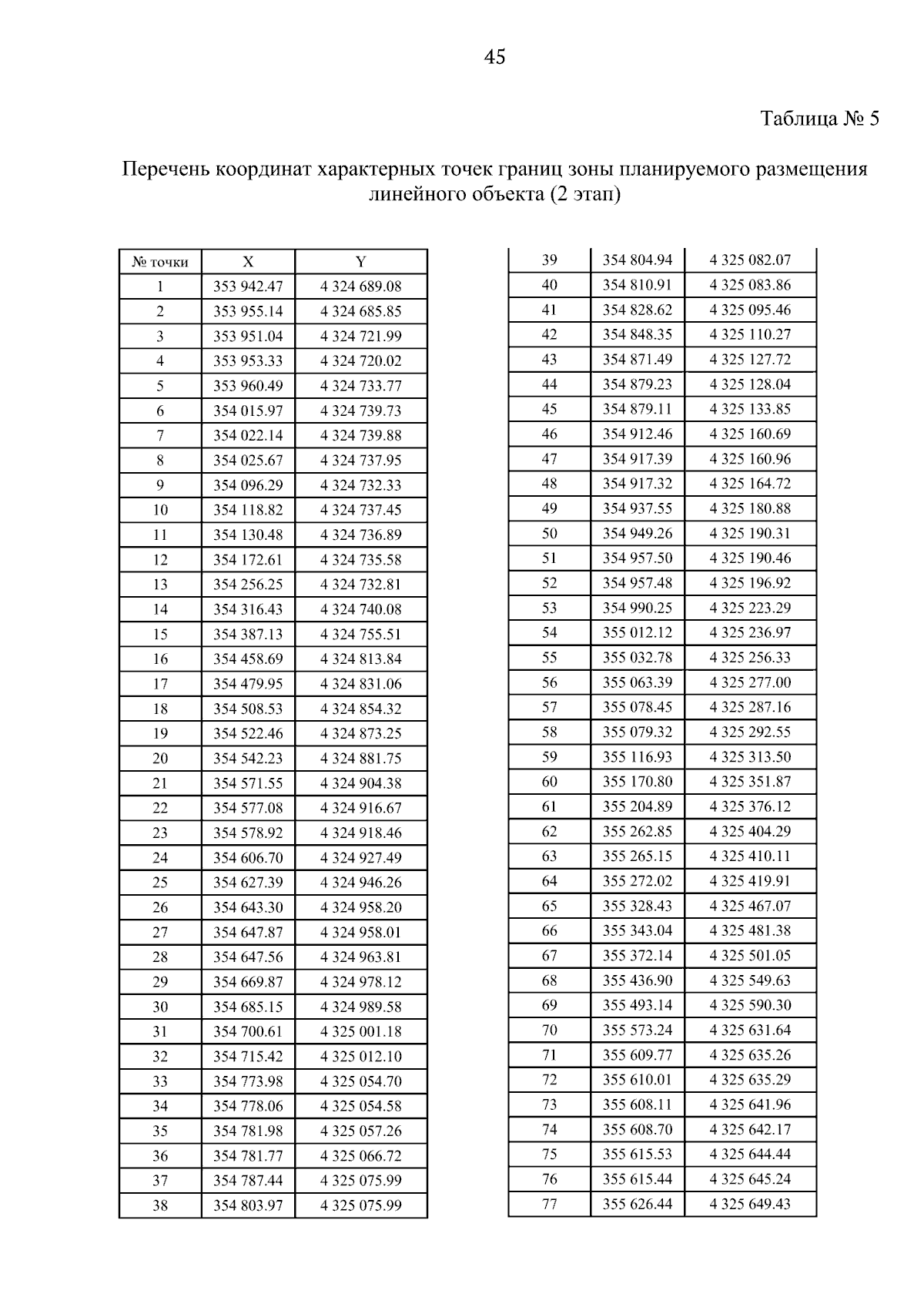
"Об утверждении документации по планировке территории, предусматривающей размещение линейного объекта транспортной инфраструктуры местного значения "Строительство третьего моста через р. Томь"
(Зарегистрирован 08.10.2025 № 1148-91/2025)
Номер опубликования: 7001202510100002
Дата опубликования: 10.10.2025
Страница №45 из 229:
Увеличить