Официальное опубликование правовых актов
ОФИЦИАЛЬНОЕ ОПУБЛИКОВАНИЕ
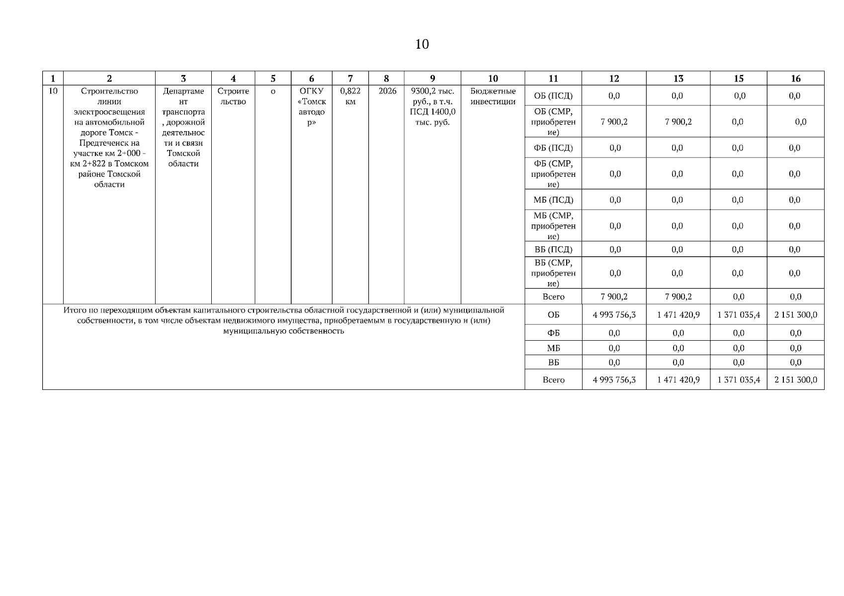
Приказ Департамента транспорта, дорожной деятельности и связи Томской области от 01.10.2025 № 39
"Об утверждении решения о подготовке и реализации бюджетных инвестиций в объекты капитального строительства государственной собственности Томской области и приобретении объектов недвижимого имущества в государственную собственность Томской области (муниципальную собственность), о предоставлении субсидий областным бюджетным или автономным учреждениям на осуществление капитальных вложений в объекты капитального строительства государственной собственности Томской области и приобретение объектов недвижимого имущества в государственную собственность Томской области и об определении объектов муниципальной собственности для предоставления субсидии местным бюджетам на софинансирование капитальных вложений в объекты муниципальной собственности"
(Зарегистрирован 02.10.2025 № 1130-76/2025)
Номер опубликования: 7001202510030017
Дата опубликования: 03.10.2025
Страница №10 из 20:
Увеличить