Официальное опубликование правовых актов
ОФИЦИАЛЬНОЕ ОПУБЛИКОВАНИЕ
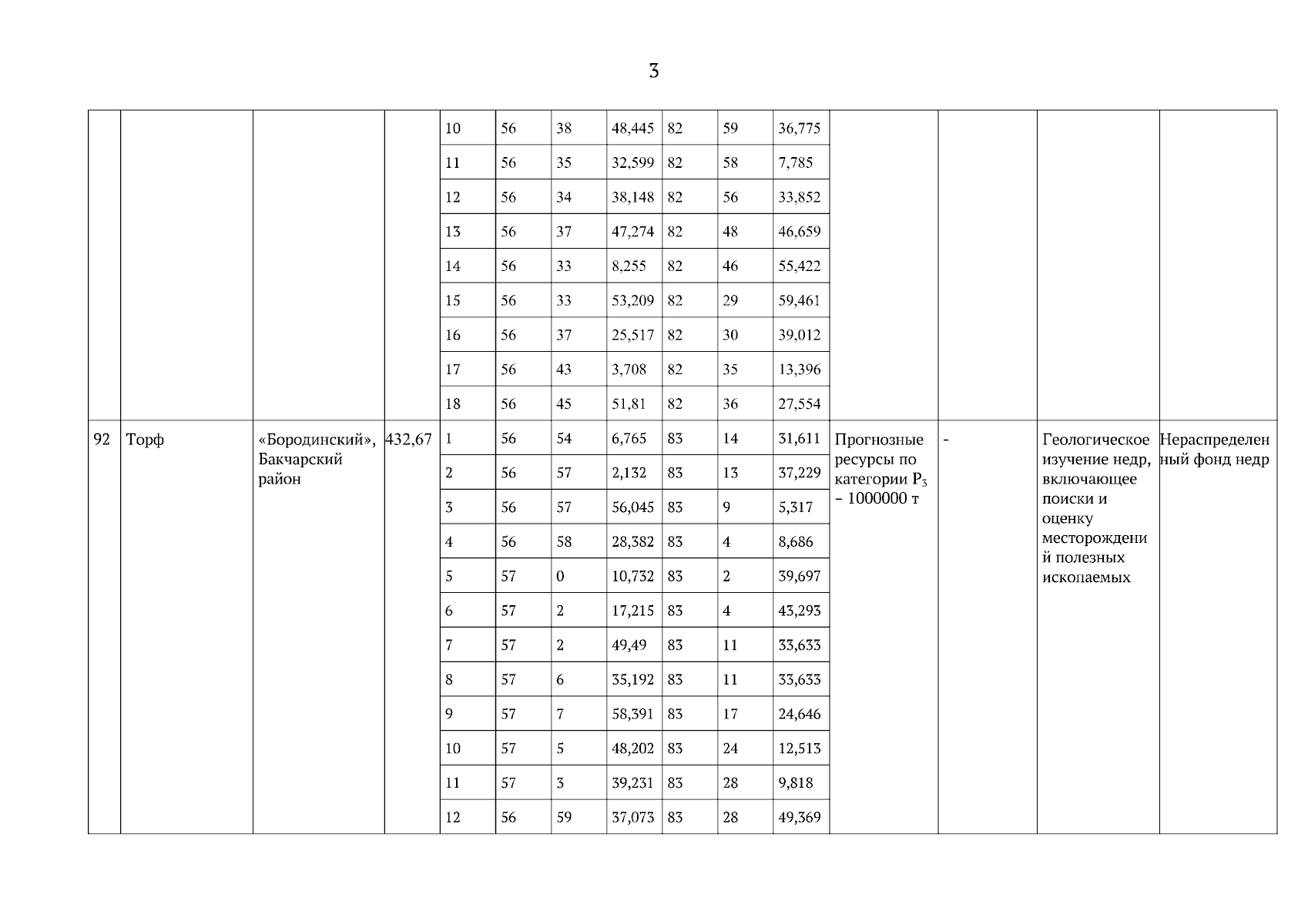
Приказ Департамента природных ресурсов и охраны окружающей среды Томской области от 19.08.2025 № 327
"О внесении изменения в приказ Департамента природных ресурсов и охраны окружающей среды Томской области от 21.11.2024 № 168"
(Зарегистрирован 20.08.2025 № 951-63/2025)
Номер опубликования: 7001202508200001
Дата опубликования: 20.08.2025
Страница №3 из 4:
Увеличить