Официальное опубликование правовых актов
ОФИЦИАЛЬНОЕ ОПУБЛИКОВАНИЕ
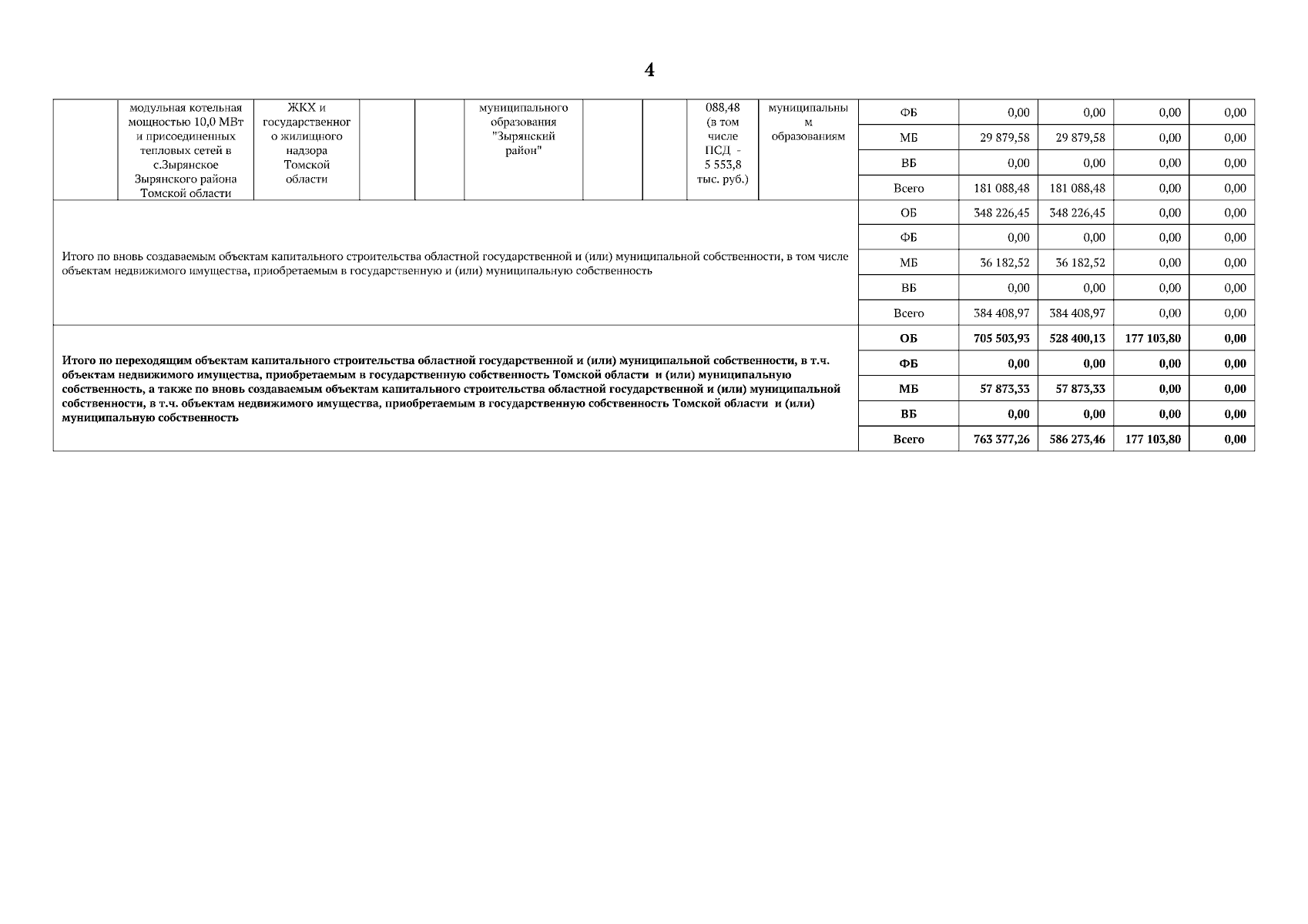
Приказ Департамента ЖКХ и государственного жилищного надзора Томской области от 18.12.2024 № 60
"О внесении изменения в приказ Департамента ЖКХ и государственного жилищного надзора Томской области от 30.09.2024 № 45"
(Зарегистрирован 19.12.2024 № 1845-71/2024)
Номер опубликования: 7001202412200003
Дата опубликования: 20.12.2024
Страница №4 из 4:
Увеличить