Официальное опубликование правовых актов
ОФИЦИАЛЬНОЕ ОПУБЛИКОВАНИЕ
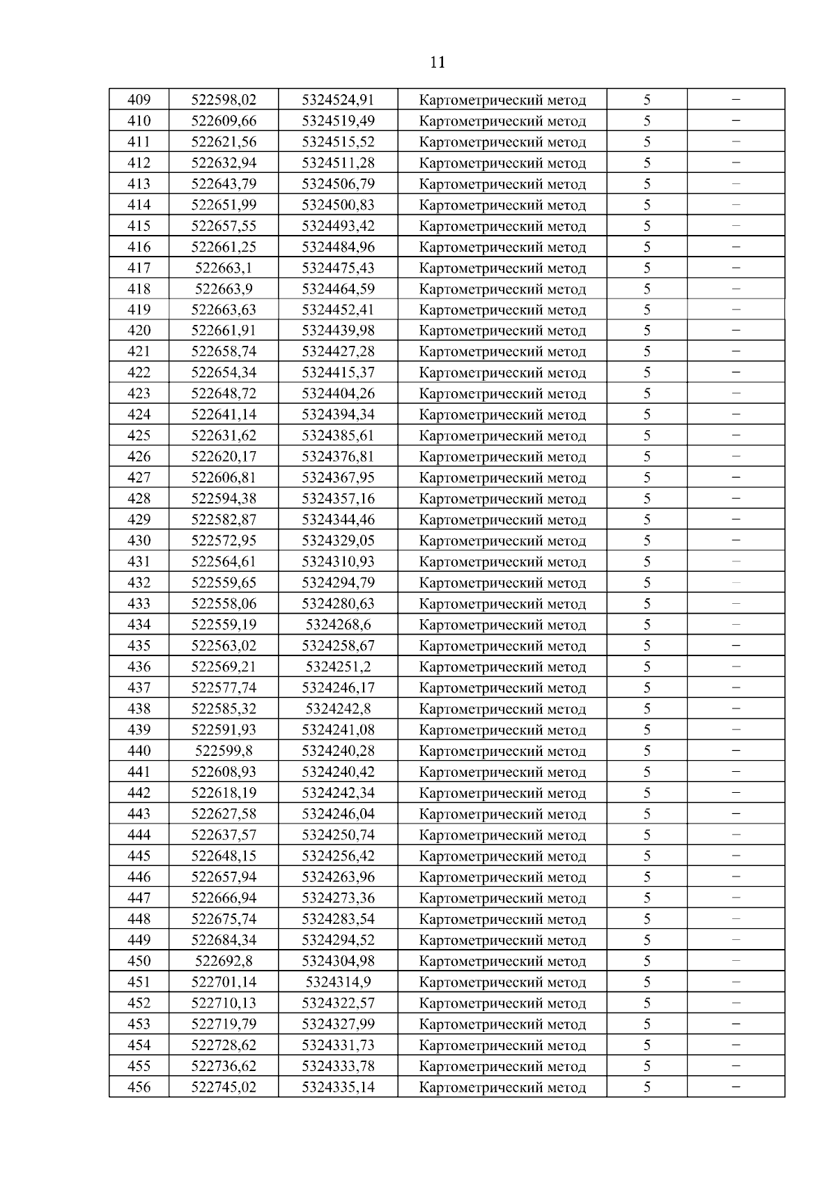
Приказ Департамента природных ресурсов и охраны окружающей среды Томской области от 12.12.2024 № 188
"Об установлении местоположения береговой линии (границы водного объекта), реки Улу-Юл на территории Томской области"
(Зарегистрирован 16.12.2024 № 1755-63/2024)
Номер опубликования: 7001202412170005
Дата опубликования: 17.12.2024
Страница №11 из 762:
Увеличить